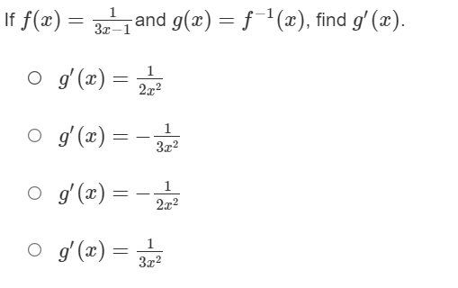
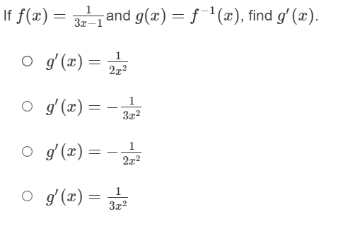
Question: Ify=f(x) write f(x)in Leibniz notation. Ify= y=y(x), writeyin Leibniz notation. fIf f(x) = e2* [sin(x)]', what is f'(x)? O f'(x) - 2e2 [ sin(x) ]2

![= e2* [sin(x)]', what is f'(x)? O f'(x) - 2e2 [ sin(x)](https://s3.amazonaws.com/si.experts.images/answers/2024/06/6676b05e7bf9c_4306676b05e55750.jpg)
![]2 - 2e2* cos(are ) sin(a) O f'(x) = ex [sin(x)]2 -](https://s3.amazonaws.com/si.experts.images/answers/2024/06/6676b05edd58d_4306676b05ebb874.jpg)
![2e2 [cos(2x)] O f'(::) = 2-27 [sin (::)]' + 2e2 cos(:) sin(a:)](https://s3.amazonaws.com/si.experts.images/answers/2024/06/6676b05f3b6c0_4316676b05f2b76e.jpg)
![o S'(x) = e2. [sin(x)]2 + 2e27 [cos(2x)]\fIf f(x) = (4x)tan-1(x2 ),](https://s3.amazonaws.com/si.experts.images/answers/2024/06/6676b05fa673e_4316676b05f86540.jpg)



Ify=f(x) write f(x)in Leibniz notation.
Ify= y=y(x), writeyin Leibniz notation.








\fIf f(x) = e2* [sin(x)]', what is f'(x)? O f'(x) - 2e2 [ sin(x) ]2 - 2e2* cos(are ) sin(a) O f'(x) = ex [sin(x)]2 - 2e2 [cos(2x)] O f'(::) = 2-27 [sin (::)]' + 2e2 cos(:) sin(a:) o S'(x) = e2. [sin(x)]2 + 2e27 [cos(2x)]\fIf f(x) = (4x)tan-1(x2 ), what is f'(x)? of'(x) = 41 cty +tan 1,2 of'(x) = - tan 1 of'(x) -4 - tan z? of'(:) = - t.an 1
Step by Step Solution
There are 3 Steps involved in it
Get step-by-step solutions from verified subject matter experts
