Question: Ik know how to answer B,C, and D. For A i keep getting 2.815 but the answer is 2.396 What am i doing wrong? Given
Ik know how to answer B,C, and D. For A i keep getting 2.815 but the answer is 2.396
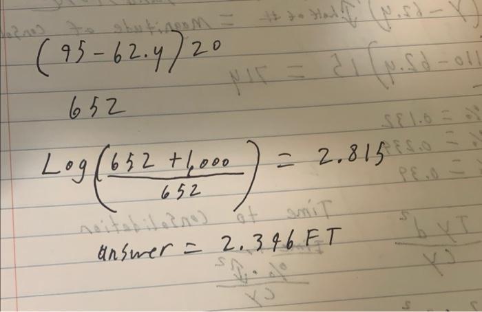
Given the surcharge load shown below, determine (a) magnitude of consolidation settlement, (b) time to 55% consolidation, (c) time to 70% consolidation, and (d) time to 90% consolidation surcharge load y = 100 pcf 10 1 y=95 pef Ce=0.27 40 See = 0.82 Con = 0.129 ft2/day Impermeable bedrock - 4 ) , %% 1.200 (95-62.4720 di lussid -01 652 SED Log (652 +6,000 = 2.815 so I 652 reitabile ed ot amit answer = 2.396 FT 5
What am i doing wrong?

Step by Step Solution
There are 3 Steps involved in it
1 Expert Approved Answer
Step: 1 Unlock
Question Has Been Solved by an Expert!
Get step-by-step solutions from verified subject matter experts
Step: 2 Unlock
Step: 3 Unlock
