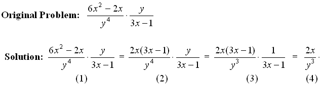
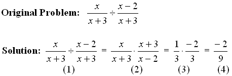
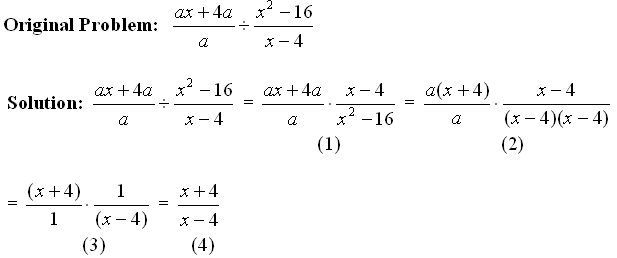
Question: In each of the problems 11 - 20, the simplification of a rational multiplication or division problem is given. Identify the first step where a
In each of the problems 11 - 20, the simplification of a rational multiplication or division problem is given. Identify the first step where a mistake occurs, if there are any.
11.










\f\f\f\f\f\f\f\f\f\f
Step by Step Solution
There are 3 Steps involved in it
1 Expert Approved Answer
Step: 1 Unlock
Question Has Been Solved by an Expert!
Get step-by-step solutions from verified subject matter experts
Step: 2 Unlock
Step: 3 Unlock
