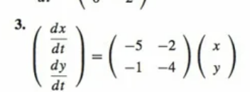
Question: In Exercises 1-10, (a) compute the eigenvalues; (b) for each eigenvalue, compute the associated eigenvectors; (c) using HPGSystemSolver, sketch the direction field for the system,


In Exercises 1-10, (a) compute the eigenvalues; (b) for each eigenvalue, compute the associated eigenvectors; (c) using HPGSystemSolver, sketch the direction field for the system, and plot the straight-line solutions; (d) for each eigenvalue, specify a corresponding straight-line solution and plot its x()- and y(r)-graphs; and (e) if the system has two distinct eigenvalues, compute the general solution. 3. dx -5 -2 X dy 4
Step by Step Solution
There are 3 Steps involved in it
Get step-by-step solutions from verified subject matter experts
