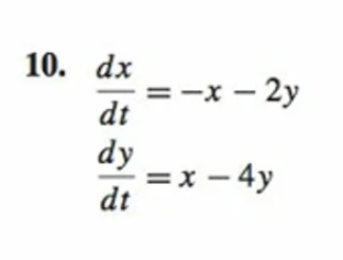
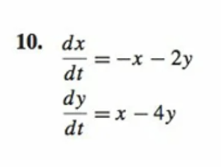
Question: In Exercises 1-10, (a) compute the eigenvalues; (b) for each eigenvalue, compute the associated eigenvectors; () using HPGSystemSolver, sketch the direction field for the system,




In Exercises 1-10, (a) compute the eigenvalues; (b) for each eigenvalue, compute the associated eigenvectors; () using HPGSystemSolver, sketch the direction field for the system, and plot the straight-line solutions; (d) for each eigenvalue, specify a corresponding straight-line solution and plot its x(z)- and y(t)-graphs; and (e) if the system has two distinct eigenvalues, compute the general solution.
Step by Step Solution
There are 3 Steps involved in it
Get step-by-step solutions from verified subject matter experts
