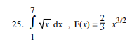
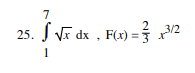
Question: In problems 13 - 33, verify that F(x) is an antiderivative of the integrand f(x) and use Part 2 of the Fundamental Theorem to evaluate








In problems 13 - 33, verify that F(x) is an antiderivative of the integrand f(x) and use Part 2 of the Fundamental Theorem to evaluate the definite integrals.25 V.r dx 2In problems 7 - 18, sketch the graph of each function and find the area between the graphs of f and g for x in the given interval.16. f(x) = cos(x ), g(x) = sin(x ) and 0
Step by Step Solution
There are 3 Steps involved in it
Get step-by-step solutions from verified subject matter experts
