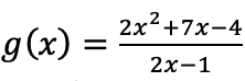
Question: In Sympy , write the function Evaluating g ( 0 . 5 ) gives a division by zero error, as it should. We d like
In Sympy write the function
Evaluating g gives a division by zero error, as it should. Wed like to know whether gx gets close to any particular value as x gets close to from either side. Evaluate gx on at least four x values to the left of approaching closer and closer to Then repeat the same process with four values on the right of Does the function seem to be converging, and if so to what value? Plot gx to see if what you found looks right.
please write the code for it in google collab as it has to be plotted and explain the concepts used step by step as a beginner since I dont know anything in calculus and also explain its application with respect to finance
Step by Step Solution
There are 3 Steps involved in it
1 Expert Approved Answer
Step: 1 Unlock
Question Has Been Solved by an Expert!
Get step-by-step solutions from verified subject matter experts
Step: 2 Unlock
Step: 3 Unlock
