Question: In tablet manufacturing operations, common problems encountered include fluctuations in tablet weights and inconsistent tablet hardness. These problems are usually due to uneven powder flow


In tablet manufacturing operations, common problems encountered include fluctuations in tablet weights and inconsistent tablet hardness. These problems are usually due to uneven powder flow into the die due to poor powder flow properties, uneven feeder material into the tablet press, malfunctions of the pressing machines and many more.
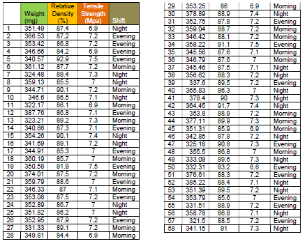
A. Describe and summarize the sample data of your assigned Lajak tablet, produced in May 2020. Present the observations effectively: in numerical, tabular and graphical forms.
B. The food and drug administration (FDA) authority requires that weights of standard tablets produced by manufacturers should be normally distribute dwith 350mg with standard deviation of 14mg. Comment on whether there is significance evidence that Lajaktablets produced in May 2020 (regardless of shifts) do follow this distribution. [note: for this test, you first need to collect your data by creating a frequency table with suitable range of values/categories]
C. Comment on whether there is any significance difference between tablet weights (mg) from the different shifts.
D. Tablet's hardness can be represented by its relative density and tensile strength. Studies have indicated that its tensile strength depends on the relative density, regardless of production shifts. Recently, a batch was found to produce cluster of tablets that show low relative density values of 68%,74.3%, and 80.1%. Based on the current data in May 2021, what is the prediction of the tensile strength for such tablets? Comment on the validity of the model that you have used to carry out this prediction.



Relative Tensile 20 353 25 98 6.0 Morning Weight Density Strength 30 378.80 88.9 7.4 Night Img (Mpa) Shift 3 352 75 87.8 7.2 351.40 87.4 Evening 6.0 Night 32 359.04 88.7 7.2 2 368.53 87.2 Morning 7.2 Evening 33 348.42 88.1 7.2 3 353.42 86.8 7.2 Morning Evening 34 358 22 01.1 7.5 346.66 84 2 Evening 6.0 Evening 35 345.56 87.6 7.1 5 340.57 02.9 Morning 7.5 Evening 38 346.79 87.8 7 361-12 87.7 Morning 7.2 Moming 37 345.46 87.5 7.1 324.48 Night 80.4 7.3 Night 38 358.62 98.3 7.2 359.13 Night 85.5 7 Night 30 337.6 80.5 7.2 344.71 Evening 20.1 7.2 Morning 40 365.83 86.3 7 10 Night 346.6 86.5 7.1 Night 41 378.4 7.3 Night 11 322 17 88.1 6.0 Moming 42 364.45 21.7 7.4 12 Night 387.76 86.8 7.1 Evening 43 353.8 88.9 7.2 13 323.21 Morning 80.2 7.3 Morning 377.11 80.9 7.3 14 340.66 87.3 Morning 7.1 Evening 45 351.31 85.9 6.0 15 Morning 354.26 20.1 7.4 Night 48 342 85 87.8 7.2 16 341.60 Night 80.1 7.2 Night 47 325.18 20.8 7.3 17 344.91 Evening 95.3 7 Evening 48 355.5 86.8 7 18 85.7 Morning 360.10 Moming 49 333.09 80.8 7.3 Night 19 350.58 21.9 7.5 Evening 50 332 31 83.2 6.6 20 374.01 7.2 Evening 87.5 Moming 51 378.61 BB.3 7.2 Evening 21 359.79 88.6 7 Evening 52 385 22 7.1 22 Night 346.33 87 7.1 Morning 53 351.30 80.5 7.2 23 Night 353.08 87.5 7.2 Evening 54 353.79 85.6 7 24 352 80 Evening 98.7 7 Night 55 331.51 98.9 7.2 Evening 25 351 82 88.2 7 Night 358.78 86.8 7.1 26 352 05 Night 87.9 7.2 Evening 57 321.5 89.5 7.2 27 Evening 331.33 80.1 7.2 Morning 58 341.15 21 7.3 28 349.81 Night 84.4 6.0 Morning
Step by Step Solution
There are 3 Steps involved in it
Get step-by-step solutions from verified subject matter experts
