Question: In this assignment, your learning on predictive analysis is tested on the series of data. You are required to analyze data by applying the techniques
In this assignment, your learning on predictive analysis is tested on the series of data. You are required to analyze data by applying the techniques you have learned in regression analysis.
Please include the Excel file.



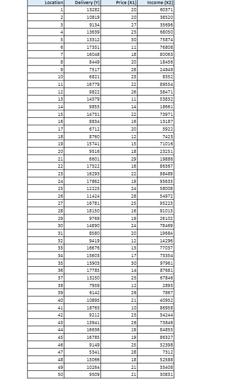
\fProblem description: It you are the manager of a grocery company with 5D stores across the city. The excel file contains data on the demand for grocery delivery: Delivery {'r} is the number of delivery per month Price [11} is the average price of a delivery Income in} is average income in the neighbourhood 't'ou are required to use the Microsoft Excel package {the data analysis section} to finish the specific tasks below.
Step by Step Solution
There are 3 Steps involved in it
Get step-by-step solutions from verified subject matter experts
