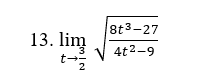
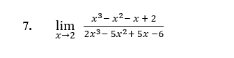
Question: INSTRUCTION: For the following limits below: a. Evaluate the limits. (3 points) INSTRUCTION: For the following limits below: a. Evaluate the limits. (3 points)








INSTRUCTION: For the following limits below: a. Evaluate the limits. (3 points)
INSTRUCTION: For the following limits below: a. Evaluate the limits. (3 points)
Step by Step Solution
There are 3 Steps involved in it
Get step-by-step solutions from verified subject matter experts
