Question: Instruction: Need someone who can solve this. Please show your solution. Make sure the answer is right ma'am sir. Choose correct answers fGiven: f(x) =
Instruction: Need someone who can solve this. Please show your solution. Make sure the answer is right ma'am sir. Choose correct answers








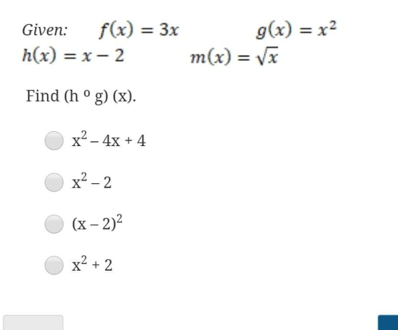
\fGiven: f(x) = 3x g(x) = x2 h(x) = x- 2 m(x) = Vx Find (h g) (x). x2 - 4x + 4 O x2 - 2 ( x - 2)2 O x2 + 22x-5 What is the domain of the function (x) = 3x+6 O R, except -6 All real numbers O R, except -2 OR, except 2Rational functions having constant numerators have no x - intercept. It depends on the numerator O True O False O Neither a nor b
Step by Step Solution
There are 3 Steps involved in it
1 Expert Approved Answer
Step: 1 Unlock
Question Has Been Solved by an Expert!
Get step-by-step solutions from verified subject matter experts
Step: 2 Unlock
Step: 3 Unlock
