Question: Instructions: Read the case in its entirety! Answer the questions at the end of the case study (before exhibits). Use the questions as a guideline
Instructions:
- Read the case in its entirety!
- Answer the questions at the end of the case study (before exhibits). Use the questions as a guideline only. Do not just answer the questions or number them in your paper!
- Write a brief introduction that includes an overview of the case and identify the main issues.
- Write a strong conclusion with a recommendation for Dr. Jones.
- Follow APA 6th edition guidelines.
Case Study Guidelines:
A case study is a short description of a real business situation. Analyzing case studies gives you the opportunity to apply concepts youre learning to real business problems. Cases are generally written for several types of analysis. Usually, there is not a "right or wrong" answer. Rather, cases provide a vehicle for you to demonstrate your understanding and ability to apply course concepts and theories. You must use appropriate sources (properly cited) to support your position. Check your analysis by assessing how well it demonstrates your subject knowledge. If your answer relies solely on your impressions of the topic, it is likely that the analysis is not your best effort.
Simply answering the questions which are part of the case is not enough; consider the questions to be clues to the important concepts and facts. You are strongly encouraged to use the following outline so that your analysis is organized appropriately:
1. Identify both the key issues and the underlying issues. In identifying the issues, you should be able to connect them to the business principles which apply to this situation.
2. Discuss the facts which affect these issues. The case may have too much information. In your discussion, you should filter the information and discuss those facts which are pertinent to the issues identified above.
3. Discuss your tentative solution to the problem and how you would implement your solution. What actions would you propose to respond to the situation, based on the knowledge you have gained in this course? You should draw on knowledge gained in your readings, experience and coursework (in this course and others) to support your response. Be sure to properly cite references in APA format. You should also draw on other references such as business periodicals and relevant journals. Remember that an analysis is more than simply a summary of the Case Study.
4. Discuss follow-up and contingency plans. How will the organization know that your proposed solution is working? What should they do if it does not work?
Evaluation Criteria
- Have you identified the critical issues/problems in the case and analyzed the key facts related to the issues/problems?
- Have you discussed a tentative solution that addresses the issues/problems and how you would implement your solution?
- Is information from the textbook and other sources integrated into your analysis appropriately? For all sources, you must provide complete APA citations.
- Is the paper professionally presented? Remember your audience. It is important to present your information as clearly and succinctly as possible. Do not sacrifice thoroughness for mere brevity.











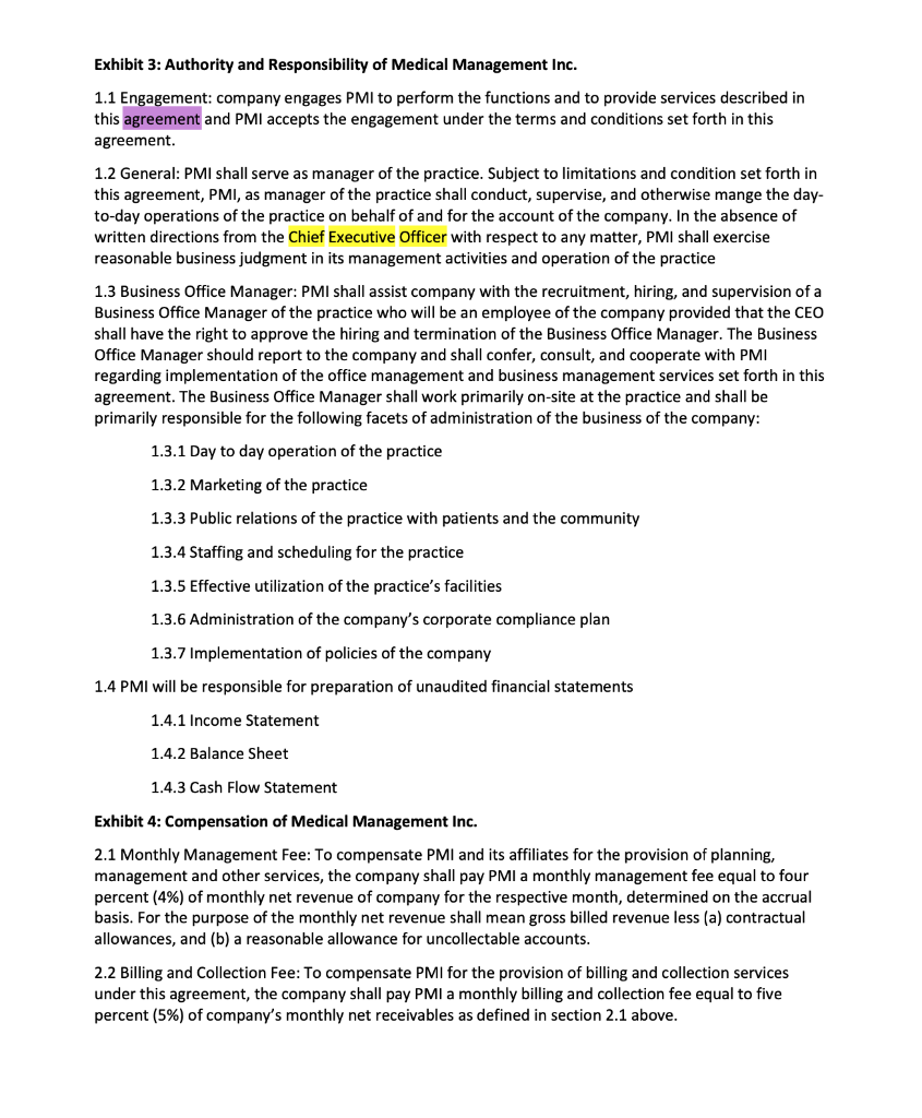
Case Study - Assignment Week 6 Instructions: . Read the case in its entirety! Answer the questions at the end of the case study (before exhibits). Use the questions as a guideline only. Do not just answer the questions or number them in your paper! Write a brief introduction that includes an overview of the case and identify the main issues. Write a strong conclusion with a recommendation for Dr. Jones. Follow APA 6th edition guidelines. . Case: Adapted from International Research Journal of Applied Finance. Wandler S.; Watson, K. (n.d.) Case Studies in Finance and Accounting (www.irjaf.com); Sunset Medical: A Statement of Cash Flow Case Introduction: Dr. Sally Jones, a practicing Orthopedic Surgeon, is the managing partner at Sunset Medical, a professional corporation located in Colorado. Sunset, which has been in business for approximately 10 years, is a small medical practice with 2018 revenues of just over $1,000,000. The practice employs a support staff that includes an office manager, billing secretary, nurse, and radiology technician. In addition to the staff, Sunset retains Jackson and Associates, a CPA firm, to provide financial statements and tax documents. As a small, privately held corporation, Sunset is only required to submit an Income Statement and Balance Sheet using cash basis accounting, which Jackson and Associates prepares. Most of the staff and the CPA firm have been with Sunset Medical for all ten years of Sunset's operation. Exhibits 1 and 2 show the Income Statements and Balance Sheets provided by Jackson and Associates for the years 2016, 2017, and 2018. In January 2019, Sunset was considering the purchase of a new X- Ray machine and attended a trade show to do some research. While attending the trade show, Dr. Jones was approached by Ron Wilson of Physicians Management Inc. (PMI) with a proposal to provide management and billing services to Sunset Medical. Mr. Wilson is the founder and CEO of PMI, a two- year old medical billing and administrative service company serving the southwest United States. PMI based its value proposition on increasing revenues, decreasing administrative expenses, and helping manage cash flows. Since administrative paperwork and billing averages between 4 and 9 percent of the expenses for most healthcare providers, not including lost revenue from billing errors, Dr. Jones decided to hire PMI to manage the practice. On February 3, 2019, a contract was signed, effectively turning over management duties of Sunset Medical to PMI. The Physicians Management Contract: A few key points from the contract between Sunset Medical and PMI include the scope of the engagement, party responsibility, and compensation of PMI. Exhibits 3 and 4 contain excerpts from the contract discussing authority, responsibility, and compensation. Under the initial contract, PMI was to serve as the manager of the practice and assist the Business Office Manager in the day to day operation of the practice. Specifically, PMI was responsible for marketing, public relations, staffing (including the recruitment, hiring, and supervision of the Business Office Manager), and administration of the company's corporate compliance plan, as well as for providing unaudited financial statements including an Income Statement, Balance Sheet, and Cash Flow Statement. To compensate PMI, Sunset agreed to pay a monthly management fee equal to four percent of monthly net revenue, determined on the accrual basis. Net revenue was determined based on gross billed revenue less contractual allowances and a reasonable allowance for uncollectable accounts. Additionally, Sunset agreed to pay a billing and collection fee equal to five percent of the company's monthly net receivables. Physicians Management Inc. - Mid-Year Performance Review: PMI began administration of Sunset in February of 2019 and immediately began making changes to the practice. Under PMI management, Sunset borrowed $100,000; using the note and cash on hand to purchase a new X-Ray machine at a cost $171,145. In accordance with the contract, Jackson and Associates was taken off retainer and PMI provided Dr. Jones with the Income Statement, Balance Sheet, and Statement of Cash flows for the six months ended June 30, 2019 (Exhibits 5, 6, and 7). With the six month financial statements in hand, Mr. Wilson informed Dr. Jones of the increased revenues and cash flows. Citing these increased revenues and cash flows, Mr. Wilson asked Dr. Jones to give PMI more control of the company, including power to terminate employees. Dr. Jones granted the additional power and PMI immediately terminated the contracts of both the office manager and the billing secretary. Within days, PMI hired Jack Johnson, Mr. Wilson's son-in-law, as the new Business Office Manager. Physicians Management Inc. -2019 Year End Performance Review: In the beginning of 2020, PMI released Sunset Medical's 2019 financial statements to Dr. Jones. The financial statements indicated that under PMI management, Sunset increased revenues from $1,167,041 in 2017 to $1,601,050 in 2019. However, despite earning more than $400,000 in additional revenue, Sunset's cash had fallen dramatically during the year. In fact, Dr. Jones had borrowed $200,000 during the year, including the $100,000 utilized to purchase the X-Ray machine. Exhibits 8, 9, and 10 show the year ended December 31, 2019 Income Statement, Balance Sheet, and Statement of Cash Flows as released by PMI. Upon receiving Sunset's financial statements from PMI in January of 2020, Dr. Jones began analysis of Sunset's business practices to determine why the company was required to borrow a significant amount of money to maintain a positive cash flow. While the X-Ray machine had cost in excess of $175,000, Jones was at a loss to explain the need to borrow an additional $200,000, especially in light of an additional $400,000 in revenue. Dr. Jones has asked you to utilize the Financial Statements prepared by Jackson and Associates and PMI as well as the contract between Sunset Medical and PMI to determine whether Sunset should retain PMI's management and billing services for 2020 or terminate the contract. Assignment: Is Physicians Medical Inc. acting in the best interest of Sunset Medical, P.C.? Did actual revenues jump by over $400,000 in 2019? Are the Financial Statements prepared by PMI correct? Is there sufficient motivation for PMI to provide the services needed to support Sunset Medical, P.C.? What ethical dilemmas face PMI? 1. Examine the 2019 financial statements provided by PMI and the 2018 financial statements provided by Jackson and Associates to answer the following: (Accounting questions) a) Discuss the differences in the Financial Statements and the effect that these differences have on the Revenues and Receivables. b) Discuss the ethical dilemma facing PMI in terms of preparing the Financial Statements. 2. Examine the contract and discuss how the contract language may be altered to reduce the ethical dilemma facing PMI. Additionally, how may the contract language be altered to provide incentives for PMI to perform in a manner that is more in line with desires of Sunset Medical? (Finance question) 3. Should PMI's management and billing services be retained or should Dr. Jones bring the management and billing functions back in house? (Finance question) Exhibit 1 - Sunset Medical, P.C. Income Statement for Years Ended 2016, 2017, 2018 (Provided by Jackson and Associates, CPA) Sunset Medical, P.C. Income Statements for Years Ended, December 31 2018 2017 2016 Revenues Medical Revenues* $ 1,167,041.88 $ 1,057,322.77 $ 802.864.47 Expenses Direct Expenses General Expenses Interest Expenses Depreciation Expense Total Expenses Net Operating Income $ 758,738.98 $ 393,330.15 $ 5,804.66 $ 14,385.00 $ 1,172,258.79 $ (5,216.91) $ 667,645.64 $ 358,141.19 $ 3,133.93 $ 14,832.92 $ 1,043,753.68 $ 13,569.09 $ 465,250.49 $ 331,243.98 $ 5,289.70 $ 14,222.00 $ 816,006,17 $ (13,141.70) $ 203.40 $ $ 589.10 $ Other Income Other Expense Total Other Income/Expense Net Income (228.04) (24.64) (5,241.55) $ $ 615.25 (554.67) 60.58 S $ (1,780.02) $ (1,190.92) S (14,332.62) s $ 13,629.67 *Medical Revenues are listed net of Bad Debt Exhibit 2 - Sunset Medical, P.C. Balance Sheet for December 31, 2016, 2017, 2018 (Provided by Jackson and Associates, CPA) Sunset Medical, P.C. Balance Sheet December 31, , 2018 2017 2016 $ 1,304.84 $ 568,221.88 $(568,221.88) $ $ Assets Cash Accounts Receivable Less: Allowance for Bad Debts Accounts Receivables, Net Accounts Receivable, Other Prepaid Expenses Notes Receivable - Employee Notes Receivable - Dr. Jones Property & Equipment Less: Accumulated Depreciation Property & Equipment, Net , Total Assets $ 1,719.87 $ 450,797.12 $(450,797.12) $ $ $ 81,946.82 $ 4,283.70 $ 57,904.35 $ 132,623.19 $(121,876.00) $ 10,747.19 $ 156,601.93 $ $ 5,753.70 $ 58,483.69 $ 127,641.97 $(107,491.00) $ 20,150.97 $ 85,693.20 $ 6,472.12 $ 335,879.95 $(335,879.95) $ $ 25,000.00 $ 1,282.96 $ 6,853.70 $ 58,483.69 $ 123,303.75 $ (92,658.00) $ 30,645.75 $ 128,738.22 Liabilities Accounts Payable FICA Withholding Payable Federal Withholding Payable State Withholding Payable State Tax Payable Notes Payable Total Liabilities $ $ 1,666.69 $ 24,835.27 $ 2,486.00 $ 9.76 $ 125,470.71 $ 154,468.43 $ $ 3,653.57 $ 64,544.28 $ 10,110.00 $ 10.30 $ $ 78,318.15 $ $ 753.13 $ 10,113.58 $ 3,231.00 $ 11.06 $ 120,884.07 $ 134,992.84 Stockholders' Equity Common Stock Retained Earnings Total Stockholders' Equity $ 25,000.00 $ (22,866.50) $ 2,133.50 $ 25,000.00 $ (17,624.95) $ 7,375.05 $ 25,000.00 $ (31,254.62) $ (6,254.62) Total Liabilities + Stockholders' Equity $ 156,601.93 $ 85,693.20 $ 128,738.22 Exhibit 3: Authority and Responsibility of Medical Management Inc. 1.1 Engagement: company engages PMI to perform the functions and to provide services described in this agreement and PMI accepts the engagement under the terms and conditions set forth in this agreement. 1.2 General: PMI shall serve as manager of the practice. Subject to limitations and condition set forth in this agreement, PMI, as manager of the practice shall conduct, supervise, and otherwise mange the day- to-day operations of the practice on behalf of and for the account of the company. In the absence of written directions from the Chief Executive Officer with respect to any matter, PMI shall exercise reasonable business judgment in its management activities and operation of the practice 1.3 Business Office Manager: PMI shall assist company with the recruitment, hiring, and supervision of a Business Office Manager of the practice who will be an employee of the company provided that the CEO shall have the right to approve the hiring and termination of the Business Office Manager. The Business Office Manager should report to the company and shall confer, consult, and cooperate with PMI regarding implementation of the office management and business management services set forth in this agreement. The Business Office Manager shall work primarily on-site at the practice and shall be primarily responsible for the following facets of administration of the business of the company: 1.3.1 Day to day operation of the practice 1.3.2 Marketing of the practice 1.3.3 Public relations of the practice with patients and the community 1.3.4 Staffing and scheduling for the practice 1.3.5 Effective utilization of the practice's facilities 1.3.6 Administration of the company's corporate compliance plan 1.3.7 Implementation of policies of the company 1.4 PMI will be responsible for preparation of unaudited financial statements 1.4.1 Income Statement 1.4.2 Balance Sheet 1.4.3 Cash Flow Statement Exhibit 4: Compensation of Medical Management Inc. 2.1 Monthly Management Fee: To compensate PMI and its affiliates for the provision of planning, management and other services, the company shall pay PMI a monthly management fee equal to four percent (4%) of monthly net revenue of company for the respective month, determined on the accrual basis. For the purpose of the monthly net revenue shall mean gross billed revenue less (a) contractual allowances, and (b) a reasonable allowance for uncollectable accounts. 2.2 Billing and Collection Fee: To compensate PMI for the provision of billing and collection services under this agreement, the company shall pay PMI a monthly billing and collection fee equal to five percent (5%) of company's monthly net receivables as defined in section 2.1 above. Exhibit 5 - Income Statement for Six Months Ende June 30, 2019 (Prepared by PMI) Sunset Medical, P.C. Income Statements for Six Months Ended, June 30, 2019 Revenues Medical Revenues $ 961,039.73 Expenses Direct Expenses General Expenses Interest Expenses Depreciation Expenses Total Expenses Net Operating Income $363,102.36 $ 247,513.39 $ 5,287.74 $ 12,655.31 $ 628,558.80 $ 332,480.93 $ 3,416.38 $ (15,890.77) Other Income Other Expense Total Other Income/Expense Net Income $ (12,474.39) $ 320,006.54 Exhibit 6 - Balance Sheet as of June 30, 2019 (Prepared by PMI) Sunset Medical, P.C. Balance Sheet June 30, 2019 $ 53,614.43 $ 313,627.76 $ $ 313,627.76 S Assets Cash Accounts Receivable Less: Allowance for Bad Debts Accounts Receivables, Net Accounts Receivable. Other Prepaid Expenses Notes Receivable - Employee Notes Receivable - Dr. Jones Property & Equipment Less: Accumulated Depreciation Property & Equipment, Net Total Assets $ 24,868.15 $ $ 62,324.50 $ 303,768.48 $(134,531.31) $ 169,237.17 $ 623,672.01 $ 77,086.48 $ $ Liabilities Accounts Payable FICA Withholding Payable Federal Withholding Payable State Withholding Payable State Tax Payable Notes Payable Total Liabilities $ $ $ 224,445.51 $ 301,531.99 Stockholders' Equity Common Stock Retained Earnings Total Stockholders' Equity $ 25,000.00 $ 297,140.02 $ 322,140.02 Total Liabilities + Stockholders' Equity $ 623,672.01 Exhibit 7-Statement of Cash Flows for Six Months Ended June 30, 2019 (Prepared by PMI) Sunset Medical, P.C. Statements of Cash Flows for Six Months Ended, June 30, 2019 Cash Flows from Operating Activities Net Income/Loss Changes in Accounts Receivable, Net Changes in Accounts Receivable, Other Changes in Prepaid Expenses Changes in Accumulated Depreciation Changes in Accounts Payable Changes in FICA Withholdings Payable Changes in Federal Withholding Payable Changes in State Tax Payable Total Changes in Cash from Operating Activities S 320,006.52 S(313,627.76) S S (24,868.15) S 134,531.31 $ 77,086.48 S S $ $ 193,128.40 Cash Flows from Investing Activities Changes in Property & Equipment Changes in Notes Receivable - Employee Changes in Notes Receivable - Dr. Jones Total Change in Cash from Investing Activities $(303,768.48) S S (62,324.50) $(366,092.98) Cash Flows from Financing Activities Changes in Notes Payable Common Stock Retained Earnings Total Change in Cash from Financing Activities S 224,445.51 $ 25,000.00 $ (22,866.50) $ 226,579.01 Net Increase/Decrease in Cash Beginning Cash Ending Cash $ 53,614.43 $ $ 53,614.43 Exhibit 8 - Income Statement for Year Ended December 31, 2019 (Prepared by PMI) Sunset Medical, P.C. Income Statements for Year Ended, December 31, 2019 Revenues Medical Revenues $ 1,601,050.52 Expenses Direct Expenses General Expenses Interest Expenses Depreciation Expense Total Expenses Net Operating Income $ 719,880.70 $ 567,372.88 $ 16,690.68 $ 34,147.56 $ 1,338,091.82 $ 262,958.70 $ 4,261.93 $ (36,050.84) Other Income Other Expense Total Other Income/Expense Net Income $ (31,788.91) $ 231,169.79 Exhibit 9 - Balance Sheet as of December 31, 2019 (Prepared by PMI) Sunset Medical, P.C. Balance Sheet December 31, 2019 S (6,458.09) $ 426,876.79 $ Assets Cash Accounts Receivable Less: Allowance for Bad Debts Accounts Receivables, Net Accounts Receivable. Other Prepaid Expenses Notes Receivable - Employee Notes Receivable - Dr. Jones Property & Equipment Less: Accumulated Depreciation Property & Equipment, Net Total Assets S 426,876.79 S 38,879.88 S 19,659.78 S $ 56,020.51 $ 308,150.84 $(156,023.56) S 152,127.28 $ 687,106.15 Liabilities Accounts Payable FICA Withholding Payable Federal Withholding Payable State Withholding Payable State Tax Payable Notes Payable Total Liabilities $ 127,018.91 $ $ $ $ $ 326,783.95 $ 453,802.86 Stockholders' Equity Common Stock Retained Earnings Total Stockholders' Equity $ 25,000.00 $ 208,303.29 S 233,303.29 Total Liabilities + Stockholders' Equity $ 687,106.15 Exhibit 10 - Statement of Cash Flows for Year Ended December 31, 2019 (Prepared by PMI) Sunset Medical, P.C. Statements of Cash Flows for Six Months Ended, December 31, 2019 Cash Flows from Operating Activities Net Income/Loss Changes in Accounts Receivable, Net Changes in Accounts Receivable, Other Changes in Prepaid Expenses Changes in Accumulated Depreciation Changes in Accounts Payable Changes in FICA Withholdings Payable Changes in Federal Withholding Payable Changes in State Tax Payable Total Changes in Cash from Operating Activities $ 231,169.79 $(426,876.79) $ (38,879.88) $ (19,659.78) $ 156,023.56 $ 127,018.91 $ $ $ $ 28,795.81 Cash Flows from Investing Activities Changes in Property & Equipment Changes in Notes Receivable - Employee Changes in Notes Receivable - Dr. Jones Total Change in Cash from Investing Activities $(308,150.84) $ $ (56,020.51) $(364,171.35) Cash Flows from Financing Activities Changes in Notes Payable Common Stock Retained Earnings Total Change in Cash from Financing Activities $ 326,783.95 $ 25,000.00 $ (22,866.50) $ 328,917.45 $ (6,458.09) Net Increase/Decrease in Cash Beginning Cash Ending Cash $ $ (6,458.09) Case Study - Assignment Week 6 Instructions: . Read the case in its entirety! Answer the questions at the end of the case study (before exhibits). Use the questions as a guideline only. Do not just answer the questions or number them in your paper! Write a brief introduction that includes an overview of the case and identify the main issues. Write a strong conclusion with a recommendation for Dr. Jones. Follow APA 6th edition guidelines. . Case: Adapted from International Research Journal of Applied Finance. Wandler S.; Watson, K. (n.d.) Case Studies in Finance and Accounting (www.irjaf.com); Sunset Medical: A Statement of Cash Flow Case Introduction: Dr. Sally Jones, a practicing Orthopedic Surgeon, is the managing partner at Sunset Medical, a professional corporation located in Colorado. Sunset, which has been in business for approximately 10 years, is a small medical practice with 2018 revenues of just over $1,000,000. The practice employs a support staff that includes an office manager, billing secretary, nurse, and radiology technician. In addition to the staff, Sunset retains Jackson and Associates, a CPA firm, to provide financial statements and tax documents. As a small, privately held corporation, Sunset is only required to submit an Income Statement and Balance Sheet using cash basis accounting, which Jackson and Associates prepares. Most of the staff and the CPA firm have been with Sunset Medical for all ten years of Sunset's operation. Exhibits 1 and 2 show the Income Statements and Balance Sheets provided by Jackson and Associates for the years 2016, 2017, and 2018. In January 2019, Sunset was considering the purchase of a new X- Ray machine and attended a trade show to do some research. While attending the trade show, Dr. Jones was approached by Ron Wilson of Physicians Management Inc. (PMI) with a proposal to provide management and billing services to Sunset Medical. Mr. Wilson is the founder and CEO of PMI, a two- year old medical billing and administrative service company serving the southwest United States. PMI based its value proposition on increasing revenues, decreasing administrative expenses, and helping manage cash flows. Since administrative paperwork and billing averages between 4 and 9 percent of the expenses for most healthcare providers, not including lost revenue from billing errors, Dr. Jones decided to hire PMI to manage the practice. On February 3, 2019, a contract was signed, effectively turning over management duties of Sunset Medical to PMI. The Physicians Management Contract: A few key points from the contract between Sunset Medical and PMI include the scope of the engagement, party responsibility, and compensation of PMI. Exhibits 3 and 4 contain excerpts from the contract discussing authority, responsibility, and compensation. Under the initial contract, PMI was to serve as the manager of the practice and assist the Business Office Manager in the day to day operation of the practice. Specifically, PMI was responsible for marketing, public relations, staffing (including the recruitment, hiring, and supervision of the Business Office Manager), and administration of the company's corporate compliance plan, as well as for providing unaudited financial statements including an Income Statement, Balance Sheet, and Cash Flow Statement. To compensate PMI, Sunset agreed to pay a monthly management fee equal to four percent of monthly net revenue, determined on the accrual basis. Net revenue was determined based on gross billed revenue less contractual allowances and a reasonable allowance for uncollectable accounts. Additionally, Sunset agreed to pay a billing and collection fee equal to five percent of the company's monthly net receivables. Physicians Management Inc. - Mid-Year Performance Review: PMI began administration of Sunset in February of 2019 and immediately began making changes to the practice. Under PMI management, Sunset borrowed $100,000; using the note and cash on hand to purchase a new X-Ray machine at a cost $171,145. In accordance with the contract, Jackson and Associates was taken off retainer and PMI provided Dr. Jones with the Income Statement, Balance Sheet, and Statement of Cash flows for the six months ended June 30, 2019 (Exhibits 5, 6, and 7). With the six month financial statements in hand, Mr. Wilson informed Dr. Jones of the increased revenues and cash flows. Citing these increased revenues and cash flows, Mr. Wilson asked Dr. Jones to give PMI more control of the company, including power to terminate employees. Dr. Jones granted the additional power and PMI immediately terminated the contracts of both the office manager and the billing secretary. Within days, PMI hired Jack Johnson, Mr. Wilson's son-in-law, as the new Business Office Manager. Physicians Management Inc. -2019 Year End Performance Review: In the beginning of 2020, PMI released Sunset Medical's 2019 financial statements to Dr. Jones. The financial statements indicated that under PMI management, Sunset increased revenues from $1,167,041 in 2017 to $1,601,050 in 2019. However, despite earning more than $400,000 in additional revenue, Sunset's cash had fallen dramatically during the year. In fact, Dr. Jones had borrowed $200,000 during the year, including the $100,000 utilized to purchase the X-Ray machine. Exhibits 8, 9, and 10 show the year ended December 31, 2019 Income Statement, Balance Sheet, and Statement of Cash Flows as released by PMI. Upon receiving Sunset's financial statements from PMI in January of 2020, Dr. Jones began analysis of Sunset's business practices to determine why the company was required to borrow a significant amount of money to maintain a positive cash flow. While the X-Ray machine had cost in excess of $175,000, Jones was at a loss to explain the need to borrow an additional $200,000, especially in light of an additional $400,000 in revenue. Dr. Jones has asked you to utilize the Financial Statements prepared by Jackson and Associates and PMI as well as the contract between Sunset Medical and PMI to determine whether Sunset should retain PMI's management and billing services for 2020 or terminate the contract. Assignment: Is Physicians Medical Inc. acting in the best interest of Sunset Medical, P.C.? Did actual revenues jump by over $400,000 in 2019? Are the Financial Statements prepared by PMI correct? Is there sufficient motivation for PMI to provide the services needed to support Sunset Medical, P.C.? What ethical dilemmas face PMI? 1. Examine the 2019 financial statements provided by PMI and the 2018 financial statements provided by Jackson and Associates to answer the following: (Accounting questions) a) Discuss the differences in the Financial Statements and the effect that these differences have on the Revenues and Receivables. b) Discuss the ethical dilemma facing PMI in terms of preparing the Financial Statements. 2. Examine the contract and discuss how the contract language may be altered to reduce the ethical dilemma facing PMI. Additionally, how may the contract language be altered to provide incentives for PMI to perform in a manner that is more in line with desires of Sunset Medical? (Finance question) 3. Should PMI's management and billing services be retained or should Dr. Jones bring the management and billing functions back in house? (Finance question) Exhibit 1 - Sunset Medical, P.C. Income Statement for Years Ended 2016, 2017, 2018 (Provided by Jackson and Associates, CPA) Sunset Medical, P.C. Income Statements for Years Ended, December 31 2018 2017 2016 Revenues Medical Revenues* $ 1,167,041.88 $ 1,057,322.77 $ 802.864.47 Expenses Direct Expenses General Expenses Interest Expenses Depreciation Expense Total Expenses Net Operating Income $ 758,738.98 $ 393,330.15 $ 5,804.66 $ 14,385.00 $ 1,172,258.79 $ (5,216.91) $ 667,645.64 $ 358,141.19 $ 3,133.93 $ 14,832.92 $ 1,043,753.68 $ 13,569.09 $ 465,250.49 $ 331,243.98 $ 5,289.70 $ 14,222.00 $ 816,006,17 $ (13,141.70) $ 203.40 $ $ 589.10 $ Other Income Other Expense Total Other Income/Expense Net Income (228.04) (24.64) (5,241.55) $ $ 615.25 (554.67) 60.58 S $ (1,780.02) $ (1,190.92) S (14,332.62) s $ 13,629.67 *Medical Revenues are listed net of Bad Debt Exhibit 2 - Sunset Medical, P.C. Balance Sheet for December 31, 2016, 2017, 2018 (Provided by Jackson and Associates, CPA) Sunset Medical, P.C. Balance Sheet December 31, , 2018 2017 2016 $ 1,304.84 $ 568,221.88 $(568,221.88) $ $ Assets Cash Accounts Receivable Less: Allowance for Bad Debts Accounts Receivables, Net Accounts Receivable, Other Prepaid Expenses Notes Receivable - Employee Notes Receivable - Dr. Jones Property & Equipment Less: Accumulated Depreciation Property & Equipment, Net , Total Assets $ 1,719.87 $ 450,797.12 $(450,797.12) $ $ $ 81,946.82 $ 4,283.70 $ 57,904.35 $ 132,623.19 $(121,876.00) $ 10,747.19 $ 156,601.93 $ $ 5,753.70 $ 58,483.69 $ 127,641.97 $(107,491.00) $ 20,150.97 $ 85,693.20 $ 6,472.12 $ 335,879.95 $(335,879.95) $ $ 25,000.00 $ 1,282.96 $ 6,853.70 $ 58,483.69 $ 123,303.75 $ (92,658.00) $ 30,645.75 $ 128,738.22 Liabilities Accounts Payable FICA Withholding Payable Federal Withholding Payable State Withholding Payable State Tax Payable Notes Payable Total Liabilities $ $ 1,666.69 $ 24,835.27 $ 2,486.00 $ 9.76 $ 125,470.71 $ 154,468.43 $ $ 3,653.57 $ 64,544.28 $ 10,110.00 $ 10.30 $ $ 78,318.15 $ $ 753.13 $ 10,113.58 $ 3,231.00 $ 11.06 $ 120,884.07 $ 134,992.84 Stockholders' Equity Common Stock Retained Earnings Total Stockholders' Equity $ 25,000.00 $ (22,866.50) $ 2,133.50 $ 25,000.00 $ (17,624.95) $ 7,375.05 $ 25,000.00 $ (31,254.62) $ (6,254.62) Total Liabilities + Stockholders' Equity $ 156,601.93 $ 85,693.20 $ 128,738.22 Exhibit 3: Authority and Responsibility of Medical Management Inc. 1.1 Engagement: company engages PMI to perform the functions and to provide services described in this agreement and PMI accepts the engagement under the terms and conditions set forth in this agreement. 1.2 General: PMI shall serve as manager of the practice. Subject to limitations and condition set forth in this agreement, PMI, as manager of the practice shall conduct, supervise, and otherwise mange the day- to-day operations of the practice on behalf of and for the account of the company. In the absence of written directions from the Chief Executive Officer with respect to any matter, PMI shall exercise reasonable business judgment in its management activities and operation of the practice 1.3 Business Office Manager: PMI shall assist company with the recruitment, hiring, and supervision of a Business Office Manager of the practice who will be an employee of the company provided that the CEO shall have the right to approve the hiring and termination of the Business Office Manager. The Business Office Manager should report to the company and shall confer, consult, and cooperate with PMI regarding implementation of the office management and business management services set forth in this agreement. The Business Office Manager shall work primarily on-site at the practice and shall be primarily responsible for the following facets of administration of the business of the company: 1.3.1 Day to day operation of the practice 1.3.2 Marketing of the practice 1.3.3 Public relations of the practice with patients and the community 1.3.4 Staffing and scheduling for the practice 1.3.5 Effective utilization of the practice's facilities 1.3.6 Administration of the company's corporate compliance plan 1.3.7 Implementation of policies of the company 1.4 PMI will be responsible for preparation of unaudited financial statements 1.4.1 Income Statement 1.4.2 Balance Sheet 1.4.3 Cash Flow Statement Exhibit 4: Compensation of Medical Management Inc. 2.1 Monthly Management Fee: To compensate PMI and its affiliates for the provision of planning, management and other services, the company shall pay PMI a monthly management fee equal to four percent (4%) of monthly net revenue of company for the respective month, determined on the accrual basis. For the purpose of the monthly net revenue shall mean gross billed revenue less (a) contractual allowances, and (b) a reasonable allowance for uncollectable accounts. 2.2 Billing and Collection Fee: To compensate PMI for the provision of billing and collection services under this agreement, the company shall pay PMI a monthly billing and collection fee equal to five percent (5%) of company's monthly net receivables as defined in section 2.1 above. Exhibit 5 - Income Statement for Six Months Ende June 30, 2019 (Prepared by PMI) Sunset Medical, P.C. Income Statements for Six Months Ended, June 30, 2019 Revenues Medical Revenues $ 961,039.73 Expenses Direct Expenses General Expenses Interest Expenses Depreciation Expenses Total Expenses Net Operating Income $363,102.36 $ 247,513.39 $ 5,287.74 $ 12,655.31 $ 628,558.80 $ 332,480.93 $ 3,416.38 $ (15,890.77) Other Income Other Expense Total Other Income/Expense Net Income $ (12,474.39) $ 320,006.54 Exhibit 6 - Balance Sheet as of June 30, 2019 (Prepared by PMI) Sunset Medical, P.C. Balance Sheet June 30, 2019 $ 53,614.43 $ 313,627.76 $ $ 313,627.76 S Assets Cash Accounts Receivable Less: Allowance for Bad Debts Accounts Receivables, Net Accounts Receivable. Other Prepaid Expenses Notes Receivable - Employee Notes Receivable - Dr. Jones Property & Equipment Less: Accumulated Depreciation Property & Equipment, Net Total Assets $ 24,868.15 $ $ 62,324.50 $ 303,768.48 $(134,531.31) $ 169,237.17 $ 623,672.01 $ 77,086.48 $ $ Liabilities Accounts Payable FICA Withholding Payable Federal Withholding Payable State Withholding Payable State Tax Payable Notes Payable Total Liabilities $ $ $ 224,445.51 $ 301,531.99 Stockholders' Equity Common Stock Retained Earnings Total Stockholders' Equity $ 25,000.00 $ 297,140.02 $ 322,140.02 Total Liabilities + Stockholders' Equity $ 623,672.01 Exhibit 7-Statement of Cash Flows for Six Months Ended June 30, 2019 (Prepared by PMI) Sunset Medical, P.C. Statements of Cash Flows for Six Months Ended, June 30, 2019 Cash Flows from Operating Activities Net Income/Loss Changes in Accounts Receivable, Net Changes in Accounts Receivable, Other Changes in Prepaid Expenses Changes in Accumulated Depreciation Changes in Accounts Payable Changes in FICA Withholdings Payable Changes in Federal Withholding Payable Changes in State Tax Payable Total Changes in Cash from Operating Activities S 320,006.52 S(313,627.76) S S (24,868.15) S 134,531.31 $ 77,086.48 S S $ $ 193,128.40 Cash Flows from Investing Activities Changes in Property & Equipment Changes in Notes Receivable - Employee Changes in Notes Receivable - Dr. Jones Total Change in Cash from Investing Activities $(303,768.48) S S (62,324.50) $(366,092.98) Cash Flows from Financing Activities Changes in Notes Payable Common Stock Retained Earnings Total Change in Cash from Financing Activities S 224,445.51 $ 25,000.00 $ (22,866.50) $ 226,579.01 Net Increase/Decrease in Cash Beginning Cash Ending Cash $ 53,614.43 $ $ 53,614.43 Exhibit 8 - Income Statement for Year Ended December 31, 2019 (Prepared by PMI) Sunset Medical, P.C. Income Statements for Year Ended, December 31, 2019 Revenues Medical Revenues $ 1,601,050.52 Expenses Direct Expenses General Expenses Interest Expenses Depreciation Expense Total Expenses Net Operating Income $ 719,880.70 $ 567,372.88 $ 16,690.68 $ 34,147.56 $ 1,338,091.82 $ 262,958.70 $ 4,261.93 $ (36,050.84) Other Income Other Expense Total Other Income/Expense Net Income $ (31,788.91) $ 231,169.79 Exhibit 9 - Balance Sheet as of December 31, 2019 (Prepared by PMI) Sunset Medical, P.C. Balance Sheet December 31, 2019 S (6,458.09) $ 426,876.79 $ Assets Cash Accounts Receivable Less: Allowance for Bad Debts Accounts Receivables, Net Accounts Receivable. Other Prepaid Expenses Notes Receivable - Employee Notes Receivable - Dr. Jones Property & Equipment Less: Accumulated Depreciation Property & Equipment, Net Total Assets S 426,876.79 S 38,879.88 S 19,659.78 S $ 56,020.51 $ 308,150.84 $(156,023.56) S 152,127.28 $ 687,106.15 Liabilities Accounts Payable FICA Withholding Payable Federal Withholding Payable State Withholding Payable State Tax Payable Notes Payable Total Liabilities $ 127,018.91 $ $ $ $ $ 326,783.95 $ 453,802.86 Stockholders' Equity Common Stock Retained Earnings Total Stockholders' Equity $ 25,000.00 $ 208,303.29 S 233,303.29 Total Liabilities + Stockholders' Equity $ 687,106.15 Exhibit 10 - Statement of Cash Flows for Year Ended December 31, 2019 (Prepared by PMI) Sunset Medical, P.C. Statements of Cash Flows for Six Months Ended, December 31, 2019 Cash Flows from Operating Activities Net Income/Loss Changes in Accounts Receivable, Net Changes in Accounts Receivable, Other Changes in Prepaid Expenses Changes in Accumulated Depreciation Changes in Accounts Payable Changes in FICA Withholdings Payable Changes in Federal Withholding Payable Changes in State Tax Payable Total Changes in Cash from Operating Activities $ 231,169.79 $(426,876.79) $ (38,879.88) $ (19,659.78) $ 156,023.56 $ 127,018.91 $ $ $ $ 28,795.81 Cash Flows from Investing Activities Changes in Property & Equipment Changes in Notes Receivable - Employee Changes in Notes Receivable - Dr. Jones Total Change in Cash from Investing Activities $(308,150.84) $ $ (56,020.51) $(364,171.35) Cash Flows from Financing Activities Changes in Notes Payable Common Stock Retained Earnings Total Change in Cash from Financing Activities $ 326,783.95 $ 25,000.00 $ (22,866.50) $ 328,917.45 $ (6,458.09) Net Increase/Decrease in Cash Beginning Cash Ending Cash $ $ (6,458.09)
Step by Step Solution
There are 3 Steps involved in it
Get step-by-step solutions from verified subject matter experts
