Question: Integrals try to show all work hand-written . 4. (Partial Fraction Decomposition) Compute the following integrals: x + 27 a. dx x2 - x -






Integrals
try to show all work hand-written.






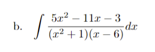
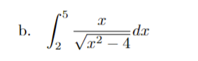
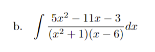
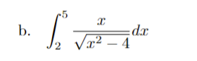
4. (Partial Fraction Decomposition) Compute the following integrals: x + 27 a. dx x2 - x - 305:12 - 11x - : (x2 + 1)(x - 6)5. (Improper Integrals) If the integral is improper, explain why, rewrite it in proper limit notation, and evaluate. 2 c2 - 4 V6. Gabriel's Trumpet / Horn Paradox Is it possible for a 3D figure to have an infinite surface area but finite volume? Gabriel's horn can be created by rotating the graph of the function f(x) = - over the interval [1, co) about the x-axis. a. Graph the region and determine the volume of the solid generated by rotating the graph of f(x) = over the interval [1, co) about the r-axis.b. Find/Approximate the surface area of the solid generated in part(a). 1 Hint: To facilitate the integration, use the fact that 1/1 + 4 > 1 for all real values of r
Step by Step Solution
There are 3 Steps involved in it
Get step-by-step solutions from verified subject matter experts
