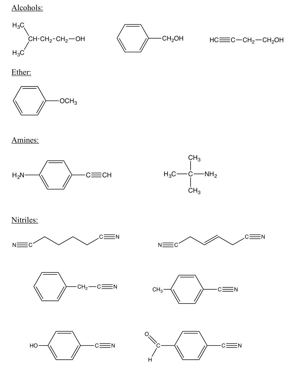
Question: IR analysis: Based on the IR and possible answer, find the bond responsible and structure for 1, 2, 3 1. 2. 3. Ketones: CH3(CH2)2 H
IR analysis: Based on the IR and possible answer, find the bond responsible and structure for 1, 2, 3


1.

2.

3.

Ketones: CH3(CH2)2 H CH2-C CH3 CH2CH3 H CH2CH3 h If a Devane mama Aldehydes: H2C H -CH2-CH2 CH2CH2 H H H H Esters: CH2 OCH3 CH3 Amides: on a CH CH3 NH2 NH2 Acids: H CH3 Govern CH2-CH2-C OH OH OH H C CH3 Alcohols: H3C CH-CH2-CH2-OH -CH2OH HCC-CH2-CH2OH H3C Ether: OCH3 Amines: CH3 H2N- CECH H3C C-NH2 CH3 Nitriles: CEN CEN NEC NEC -CH2-CEN CH3 CSN OSO HO CON CON H 00 ml d SD wa 99 68 79 B1 79 GESE 18 846 808 735 44 3663 04 84 3179 84 3091 62 3067 47 3035 98 2953 G6 1158 1107 1078 1031 9 2921 2252 1957 1066 1860 1812 1603 1688 1498 1455 1416 1338 1297 1186 36 79 04 84 81 47 969 7 19 79 84 74 GE 99 TOOT LP 941 927 5? 72 675 70 615 49 466 46 0 4000 3000 2000 1500 1000 500 0 , 84 3411 79 3087 68 3064 82 30 30 52 2978 39 2939 2906 68 1810 1713 1604 1604 1496 1454 1411 6B 77 26 2B 47 a 1377 63 1350 42 1310 88 1204 66 1189 66 1157 74 1109 36 1081 1039 103) 991 918 900 846 72 52 55 70 81 740 699 650 619 572 521 477 36 12 77 74 81 86 74 84 0 4000 3000 2000 1500 1000 500 MYEMINI Banan 3066 3034 2999 2963 2907 2845 1784 79 79 79 66 86 84 1724 + 1644 84 1602 53 1582 79 1493 79 1453 35 1436 36 84 688 676 483 1316 27 1279 5 1193 58 1177 62 1160 77 1112 18 1072 49 49 86 72 84 70 52 58 86 1028 1003 956 937 823 800 710 84 10 4000 3000 2000 1500 1000 500
Step by Step Solution
There are 3 Steps involved in it
Get step-by-step solutions from verified subject matter experts
