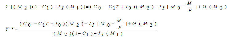
Question: IS Curve, Equation (1) ---> Y = 1 C 1 1 [ C 0 C 1 T + I 0 I 1 r + G
IS Curve, Equation (1) ---> Y=1C11[C0C1T+I0I1r+G]
LM Curve, Equation (2) ---> Y = [(M/P) - M0+ M2r] / M1
GDP in equilibrium Y* is given by
Y*= ((C0C1T+I0)(M)2)I1[M0M/P]+G(M2))/((M2)(1C1)+I1(M1))
![IS Curve, Equation (1) ---> Y=1C11[C0C1T+I0I1r+G] LM Curve, Equation (2) ---> Y](https://s3.amazonaws.com/si.experts.images/answers/2024/07/66863faa2db92_15466863faa190b3.jpg)
Step by Step Solution
There are 3 Steps involved in it
1 Expert Approved Answer
Step: 1 Unlock
Question Has Been Solved by an Expert!
Get step-by-step solutions from verified subject matter experts
Step: 2 Unlock
Step: 3 Unlock
