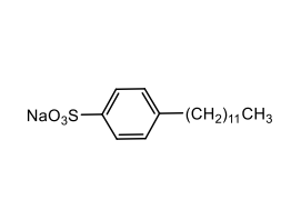
Question: Is this surfactant ionic or anionic? Would it make a good surfactant? Would it be toxic?
Is this surfactant ionic or anionic?
Would it make a good surfactant?
Would it be toxic?

Step by Step Solution
There are 3 Steps involved in it
1 Expert Approved Answer
Step: 1 Unlock
Question Has Been Solved by an Expert!
Get step-by-step solutions from verified subject matter experts
Step: 2 Unlock
Step: 3 Unlock
