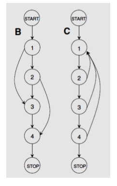
Question: It is required to write any two C program that follows the next two CFG graphs. You only can use following control statements: if-then-else, while,
It is required to write any two C program that follows the next two CFG graphs.
You only can use following control statements: if-then-else, while, do-while, and for loops.

TAR 2 2 3 3 4 STOP STOP
Step by Step Solution
There are 3 Steps involved in it
Get step-by-step solutions from verified subject matter experts
