Question: Jasper's executive team set a goal for a 10% increase in return on sales from last year. What would ROS need to be to reach




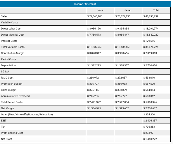
Jasper's executive team set a goal for a 10% increase in return on sales from last year. What would ROS need to be to reach this goal? A. O 31.92% B 0.05% C. O 17.14% D. 31.96% E. O 35.11% Balance Sheet Assets Cash $ 5,158,862 Accounts Receivable $ 6,337,927 Inventory $ 5,396,075 Total Current Assets $ 16,892,865 Plant And Equipment $ 5,882,854 Accumulated Depreciation $ 6,975,140 Total Fixed Assets $ 12,857,994 Total Assets $ 29,750,859 Liabilities & Owners' Equity Accounts Payable $ 7,194,195 Current Debt $ 6,095,218 Long Term Debt $7,137,434 Total Liabilities $ 20,426,847 Common Stock $6,826,881 Retained Earnings $ 2,497,131 Total Equity $9,324,012 Total Liabilities And Equity $ 29,750,859 Cash Flow Sheet Starting Cash $ 1,030,351 Cash From Operations $ 1,450,272 Net Income (Loss) Adjustment For Non-Cash items Depreciation $ 2,700,650 $ 26,187 Extraordinary gains/losses/writeoffs Changes in current assets and liabilities Accounts Payable $ 65,770 Inventory $ 96,246 Accounts Receivable $ 80,485 Net Cash From Operations $ 4,419,610 Cash From Investing Plant Improvements $ (457,746) Net Cash From Investing $ (457,746) Cash From Financing Dividends Paid $ (31,297) Common Stock Sales $- Common Stock Purchases S (96,396) Bond Sales $ 521,873 Bond Purchases S- Change in Current Debt $ 221,802 Net Cash From Financing $ 615,982 Net Change in Cash $ 4,577,846 Closing Cash Postion $ 5,608,197 Income Statement Juice Jump Total Sales $ 22,666,105 $ 23,627,135 $ 46,293,239 Variable Costs Direct Labor Cost $ 8,956,120 $ 9,335,854 $ 18,291,974 Direct Material Cost $ 7,756,573 $ 8,085,447 $ 15,842,020 Interest Costs $ 129,616 $ 18,837,758 $ 19,636,468 $ 38,474,226 Total Variable Costs Contribution Margin $ 3,828,347 $ 3,990,666 $ 7,819,013 Period Costs Depreciation $ 1,322,293 $ 1,378,357 $ 2,700,650 SG&A R&D Cost $ 260,972 $ 272,037 $ 533,010 Promotion Budget $336,707 $ 350,983 $ 687,690 Sales Budget $325,115 $ 338,899 $ 664,014 Administrative Overhead $ 246,285 $ 256,727 $ 503,012 $ 2,491,372 $ 2,597,004 $ 5,088,376 Total Period Costs Net Margin Other (Fees/Write-offs/Bonuses/Relocation) $ 1,336,975 $ 1,393,662 $ 2,730,637 $ 324,300 EBIT $ 2,406,337 Tax $ 796,853 Profit Sharing Cost $ 29,597 Net Profit $ 1,450,272 Jasper's executive team set a goal for a 10% increase in return on sales from last year. What would ROS need to be to reach this goal? A. O 31.92% B 0.05% C. O 17.14% D. 31.96% E. O 35.11% Balance Sheet Assets Cash $ 5,158,862 Accounts Receivable $ 6,337,927 Inventory $ 5,396,075 Total Current Assets $ 16,892,865 Plant And Equipment $ 5,882,854 Accumulated Depreciation $ 6,975,140 Total Fixed Assets $ 12,857,994 Total Assets $ 29,750,859 Liabilities & Owners' Equity Accounts Payable $ 7,194,195 Current Debt $ 6,095,218 Long Term Debt $7,137,434 Total Liabilities $ 20,426,847 Common Stock $6,826,881 Retained Earnings $ 2,497,131 Total Equity $9,324,012 Total Liabilities And Equity $ 29,750,859 Cash Flow Sheet Starting Cash $ 1,030,351 Cash From Operations $ 1,450,272 Net Income (Loss) Adjustment For Non-Cash items Depreciation $ 2,700,650 $ 26,187 Extraordinary gains/losses/writeoffs Changes in current assets and liabilities Accounts Payable $ 65,770 Inventory $ 96,246 Accounts Receivable $ 80,485 Net Cash From Operations $ 4,419,610 Cash From Investing Plant Improvements $ (457,746) Net Cash From Investing $ (457,746) Cash From Financing Dividends Paid $ (31,297) Common Stock Sales $- Common Stock Purchases S (96,396) Bond Sales $ 521,873 Bond Purchases S- Change in Current Debt $ 221,802 Net Cash From Financing $ 615,982 Net Change in Cash $ 4,577,846 Closing Cash Postion $ 5,608,197 Income Statement Juice Jump Total Sales $ 22,666,105 $ 23,627,135 $ 46,293,239 Variable Costs Direct Labor Cost $ 8,956,120 $ 9,335,854 $ 18,291,974 Direct Material Cost $ 7,756,573 $ 8,085,447 $ 15,842,020 Interest Costs $ 129,616 $ 18,837,758 $ 19,636,468 $ 38,474,226 Total Variable Costs Contribution Margin $ 3,828,347 $ 3,990,666 $ 7,819,013 Period Costs Depreciation $ 1,322,293 $ 1,378,357 $ 2,700,650 SG&A R&D Cost $ 260,972 $ 272,037 $ 533,010 Promotion Budget $336,707 $ 350,983 $ 687,690 Sales Budget $325,115 $ 338,899 $ 664,014 Administrative Overhead $ 246,285 $ 256,727 $ 503,012 $ 2,491,372 $ 2,597,004 $ 5,088,376 Total Period Costs Net Margin Other (Fees/Write-offs/Bonuses/Relocation) $ 1,336,975 $ 1,393,662 $ 2,730,637 $ 324,300 EBIT $ 2,406,337 Tax $ 796,853 Profit Sharing Cost $ 29,597 Net Profit $ 1,450,272
Step by Step Solution
There are 3 Steps involved in it
Get step-by-step solutions from verified subject matter experts
