Question: JAVA program Write a method, calcInverse(double x, int n) , which returns an approximation of 1 / x by summing the first n terms of
JAVA program
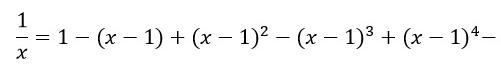
Write a method, calcInverse(double x, int n), which returns an approximation of 1 / x by summing the first n terms of the following summation. You may assume that x is not 0 and that n is a non-negative integer. You may NOT
use Math.pow or any power/exponent
put another while loop inside the main while loop.
Write this method with one multiplication operation inside the while loop.
= 1-(x-1) + (x-1)2-(x-1)3 + (x-1)4
Step by Step Solution
There are 3 Steps involved in it
Get step-by-step solutions from verified subject matter experts
