Question: July Additional Assignment: Recall the $ 4 5 , 0 0 0 loan that The MixMax Company arranged to finance the purchase of its equipment
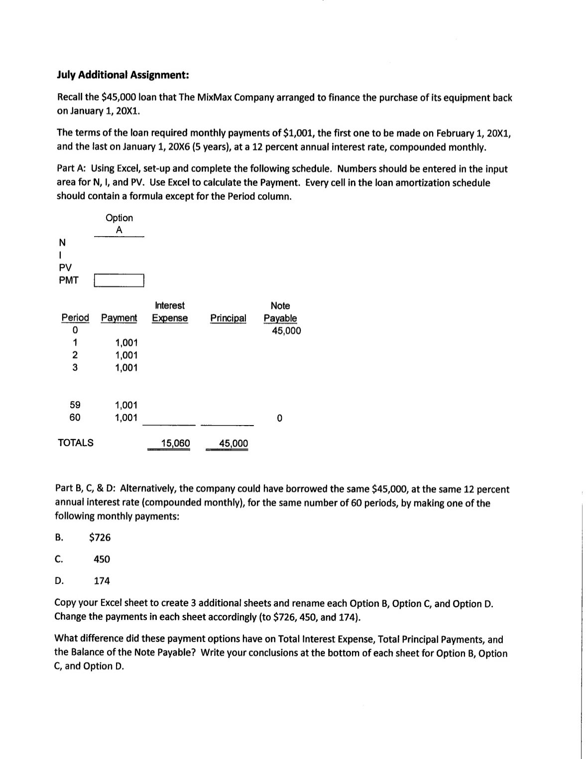
July Additional Assignment:
Recall the $ loan that The MixMax Company arranged to finance the purchase of its equipment back on January X
The terms of the loan required monthly payments of $ the first one to be made on February and the last on January X years at a percent annual interest rate, compounded monthly.
Part A: Using Excel, setup and complete the following schedule. Numbers should be entered in the input area for I, and PV Use Excel to calculate the Payment. Every cell in the loan amortization schedule should contain a formula except for the Period column.
tabletabletableIPVPMTPeriodPayment,tableInterestExpensePrincipal,tableNotePayabletableTOTALS
Part B C & D: Alternatively, the company could have borrowed the same $ at the same percent annual interest rate compounded monthly for the same number of periods, by making one of the following monthly payments:
B $
C
D
Copy your Excel sheet to create additional sheets and rename each Option B Option C and Option D Change the payments in each sheet accordingly to $ and
What difference did these payment options have on Total Interest Expense, Total Principal Payments, and the Balance of the Note Payable? Write your conclusions at the bottom of each sheet for Option B Option C and Option D
Step by Step Solution
There are 3 Steps involved in it
1 Expert Approved Answer
Step: 1 Unlock
Question Has Been Solved by an Expert!
Get step-by-step solutions from verified subject matter experts
Step: 2 Unlock
Step: 3 Unlock
