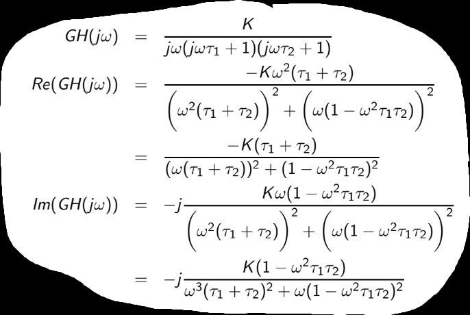
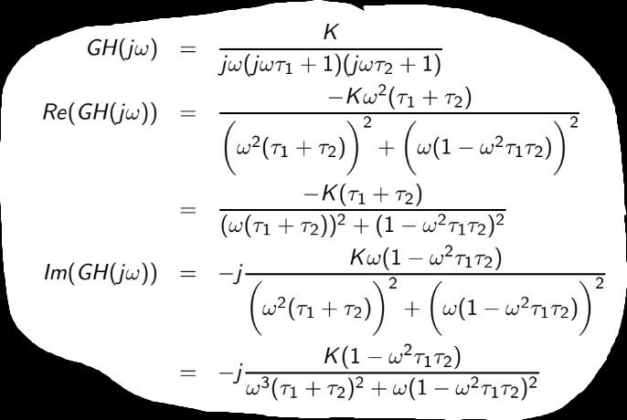
Question: K GH(jw) = jw ( jWT1 + 1) (jWT2 + 1) - KW2(T1 + 72) Re( GH(jw) ) = 2 2 (w2 ( 71 +

 K GH(jw) = jw ( jWT1 + 1) (jWT2 + 1)

- KW2(T1 + 72) Re( GH(jw) ) = 2 2 (w2 (

K GH(jw) = jw ( jWT1 + 1) (jWT2 + 1) - KW2(T1 + 72) Re( GH(jw) ) = 2 2 (w2 ( 71 + 72 ) + (w (1 - W2T172 ) -K(T1 + 72) = ( W ( T1 + 72) ) 2 + ( 1 - W2 T172) 2 Kw(1 - W2TIT2) Im( GH(jw)) = -j 2 ( w 2 ( 71 + 72 ) ) + ( w ( 1 - W 2 TIT2 ) K(1 - W2TIT2) = W3( T1 + 72) 2+ w(1 - W2TIT2) 2

Step by Step Solution

There are 3 Steps involved in it

1 Expert Approved Answer
Step: 1 Unlock blur-text-image
Question Has Been Solved by an Expert!

Get step-by-step solutions from verified subject matter experts

Step: 2 Unlock
Step: 3 Unlock

Students Have Also Explored These Related Mathematics Questions!