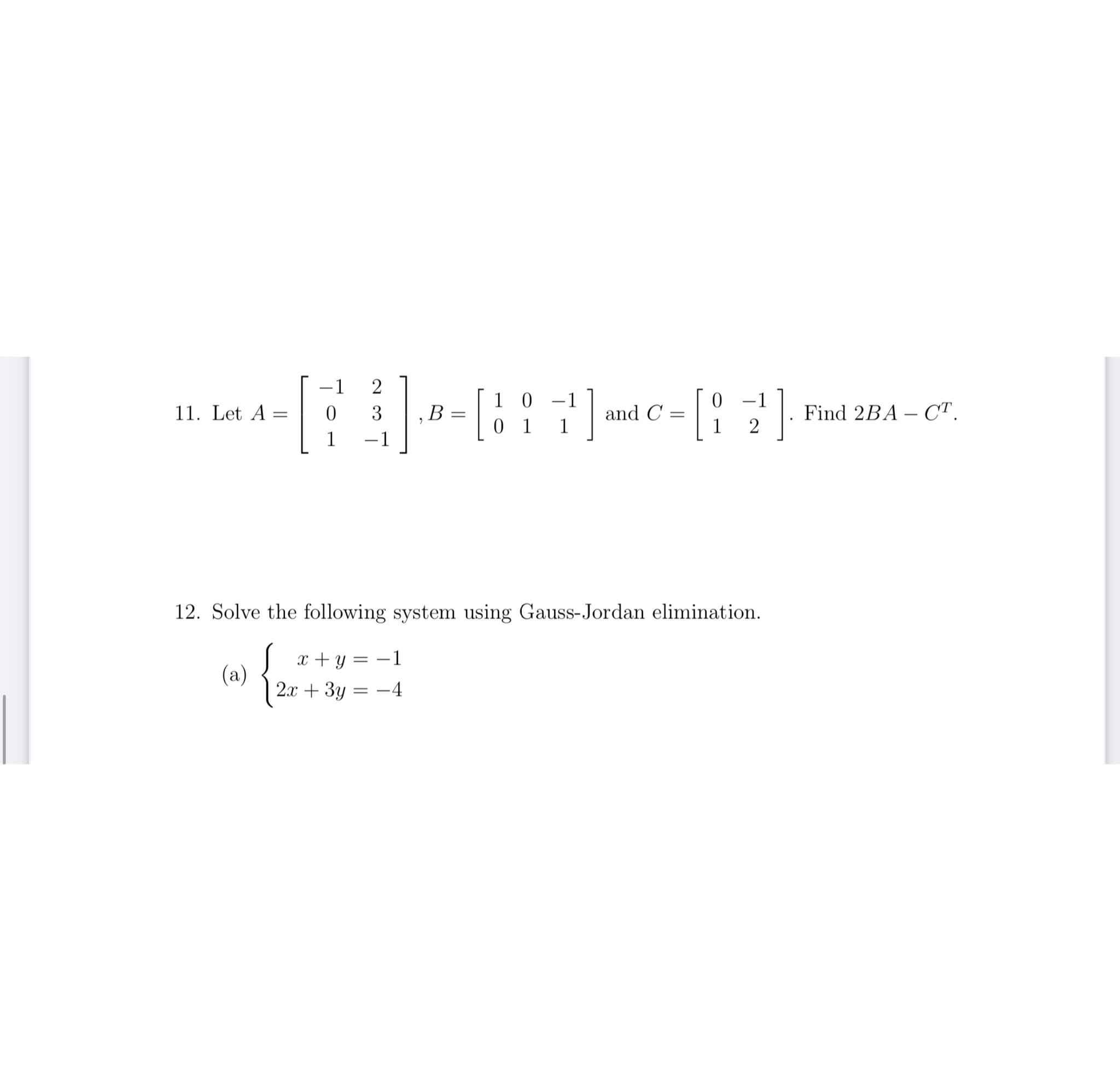
Question: Let A = [ - 1 2 0 3 1 - 1 ] , B = [ 1 0 - 1 0 1 1 ]
Let and Find
Solve the following system using GaussJordan elimination.
a
Step by Step Solution
There are 3 Steps involved in it
1 Expert Approved Answer
Step: 1 Unlock
Question Has Been Solved by an Expert!
Get step-by-step solutions from verified subject matter experts
Step: 2 Unlock
Step: 3 Unlock
