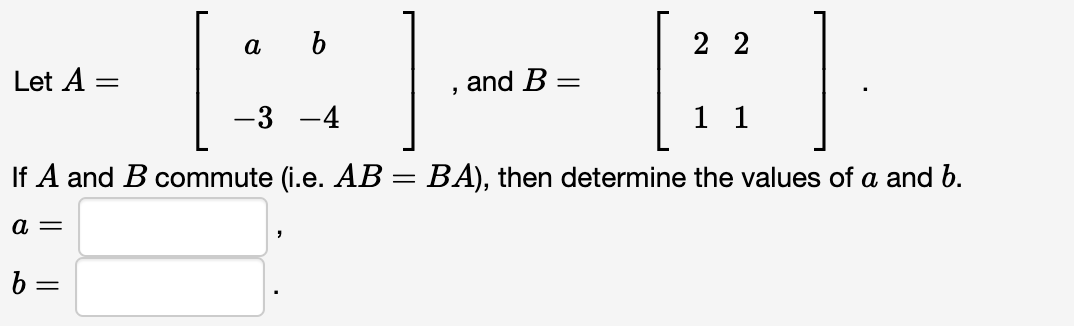
Question: Let A = a b = and B = 22 -3 -4 1 1 If A and B commute (i.e. AB = BA),
Let A = a b = " and B = 22 -3 -4 1 1 If A and B commute (i.e. AB = BA), then determine the values of a and b. a =
Step by Step Solution
3.40 Rating (156 Votes )
There are 3 Steps involved in it
Given As A LAB b A 2 2 34 1 a and ... View full answer
Get step-by-step solutions from verified subject matter experts
