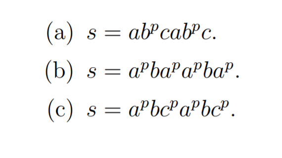
Question: Let A = {ww | w {a, b, c} }. Suppose you are trying to prove that A is not a context-free language using the
Let A = {ww | w {a, b, c} }.
Suppose you are trying to prove that A is not a context-free language using the context-free language pumping lemma. Your proof starts (correctly) like this:
Suppose for a contradiction that A is a context-free language. Let p be the pumping length given by the pumping lemma.
Now you have to choose string s. For each choice of s below, state whether or not this choice of s can be used to finish the proof that A is not a context-free language. If your answer is YES you do not have to explain anything. If your answer is NO, you should also briefly explain why it can not be used.

Step by Step Solution
There are 3 Steps involved in it
Get step-by-step solutions from verified subject matter experts
