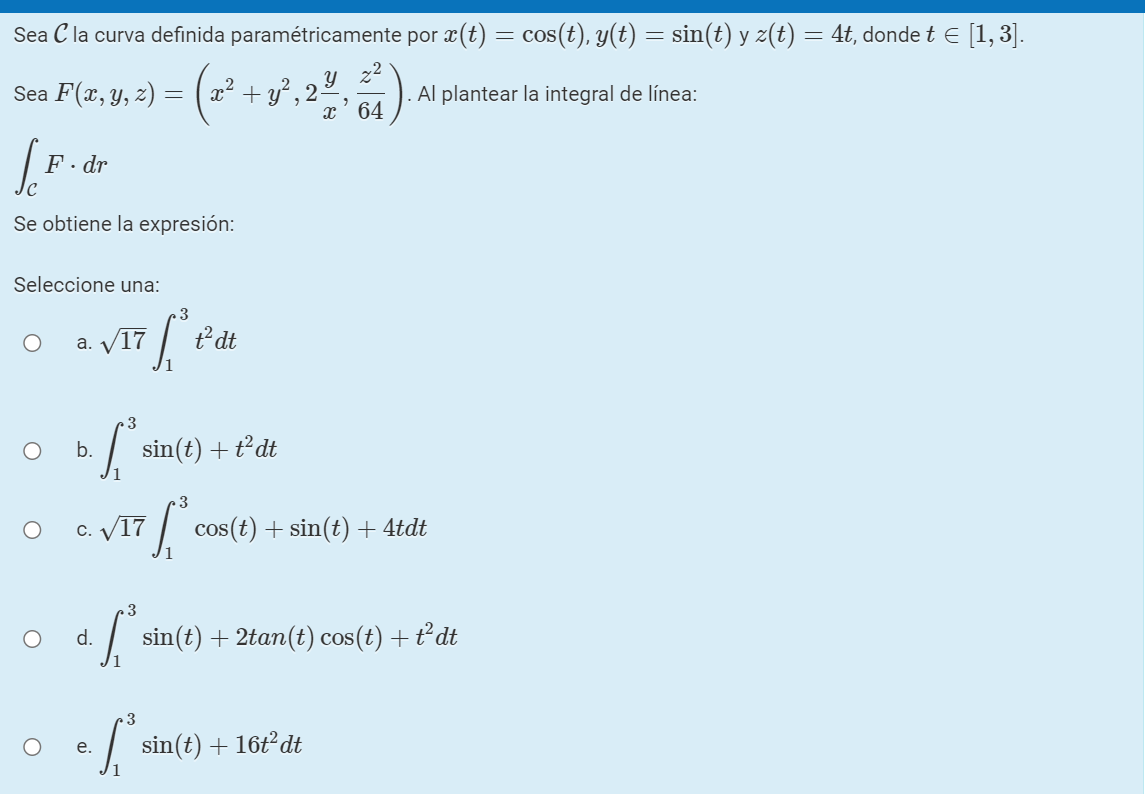
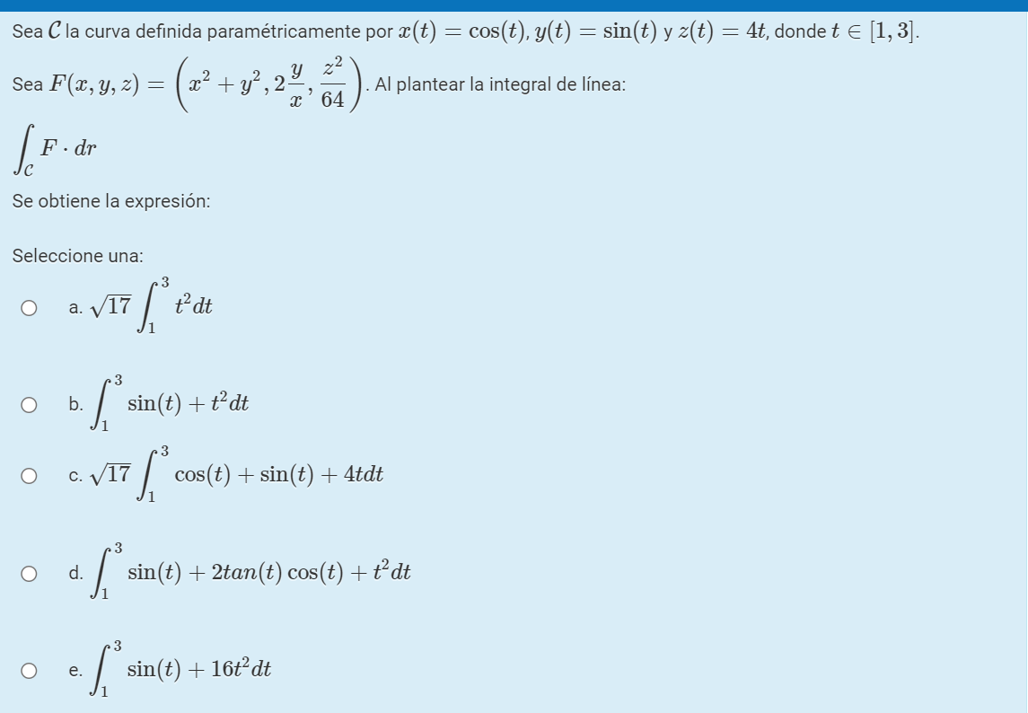
Question: Let C be the curve defined parametrically by Sea C la curva definida paramtricamente por x(t) = cos(t), y(t) = sin(t) y z(t) 4t, dondet

![sin(t) y z(t) 4t, dondet e [1, 3] 2 sea - .](https://s3.amazonaws.com/si.experts.images/answers/2024/06/667669d24e075_370667669d23d51f.jpg)


Let C be the curve defined parametrically by




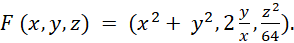
Sea C la curva definida paramtricamente por x(t) = cos(t), y(t) = sin(t) y z(t) 4t, dondet e [1, 3] 2 sea - . A1 plantear la integral de linea: ' 64 c Se obtiene la expresin: Seleccione una: O O O O a. b. C. d. e. 3 t2dt 17 1 3 sin(t) + t2dt 1 3 17 cos + Sin (t) + 4tdt 1 3 sin(t) + 2tan(t) cos(t) + t2dt 1 3 sin(t) + 16t2dt 1
Step by Step Solution
There are 3 Steps involved in it
Get step-by-step solutions from verified subject matter experts
