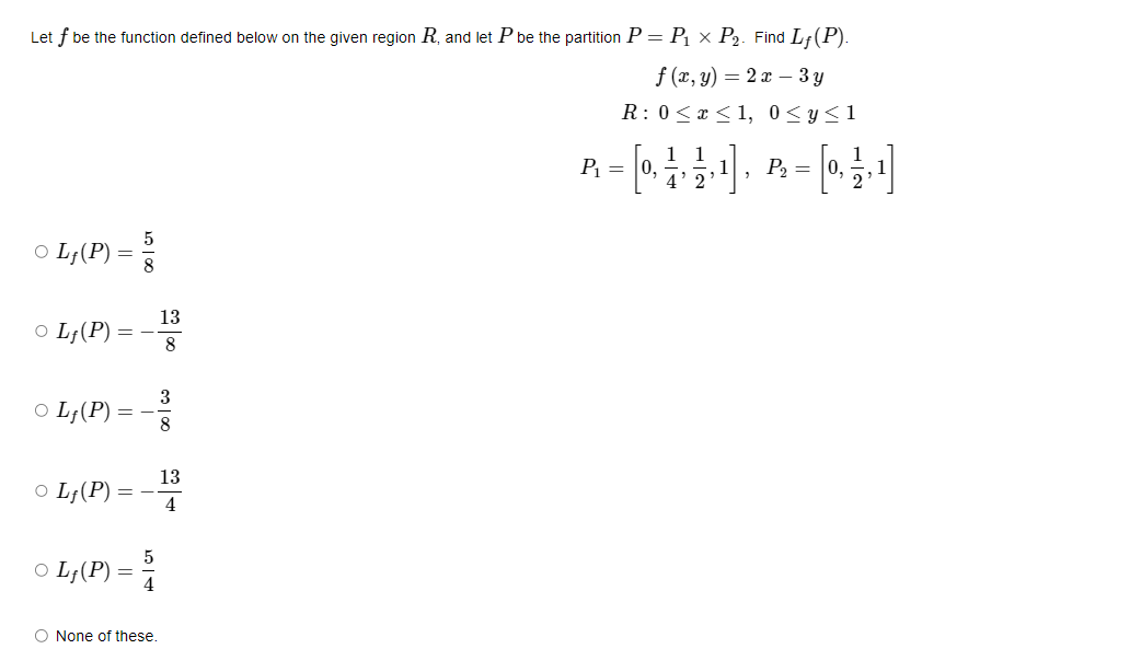
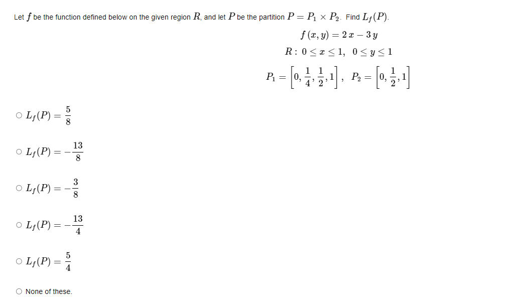
Question: Let f be the function defined below on the given region R, and let P be the partition P = P1 x P2. Find L,


Let f be the function defined below on the given region R, and let P be the partition P = P1 x P2. Find L, (P). f (x, y) = 2x -3y R : 0
Step by Step Solution
There are 3 Steps involved in it
Get step-by-step solutions from verified subject matter experts
