Question: Let f be the function defined below on the given region R, and let P be the partition P = P, X P2. Find U,




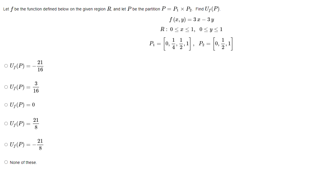
Let f be the function defined below on the given region R, and let P be the partition P = P, X P2. Find U, (P). f (x, y) = 3x - 3y R : 0
Step by Step Solution
There are 3 Steps involved in it
Get step-by-step solutions from verified subject matter experts
