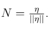
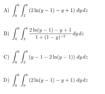
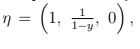
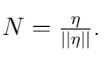
Question: Let F(x, y, z) = 2ri+ y - 1 j + rzk+1-VfZ 6 y = + 1 N S In 5 6 y







Let







F(x, y, z) = 2ri+ y - 1 j + rzk+1-V\fZ 6 y = " + 1 N S In 5 6 y
Step by Step Solution
There are 3 Steps involved in it
1 Expert Approved Answer
Step: 1 Unlock
Question Has Been Solved by an Expert!
Get step-by-step solutions from verified subject matter experts
Step: 2 Unlock
Step: 3 Unlock
