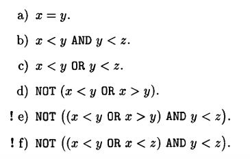
Question: Let R(x,y,z) be a relation. Write one or more DATALOG rules that define Please assist with (D,E, and F) Exercise 5.4.2: Let R(x, y, z)
Let R(x,y,z) be a relation. Write one or more DATALOG rules that define
Please assist with (D,E, and F)


Exercise 5.4.2: Let R(x, y, z) be a relation. Write one or more Datalog rules that define ??(R), where C stands for each of the following conditions: Exercise 5.4.2: Let R(x, y, z) be a relation. Write one or more Datalog rules that define ??(R), where C stands for each of the following conditions
Step by Step Solution
There are 3 Steps involved in it
Get step-by-step solutions from verified subject matter experts
