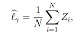
Question: Let X be a random variable and consider the estimation of the probability L? = P(X > ?) for some large ? ? R. The
Let X be a random variable and consider the estimation of the probability L? = P(X > ?) for some large ? ? R. The Crude Monte Carlo (CMC) estimator of L? is


\f\f
Step by Step Solution
There are 3 Steps involved in it
Get step-by-step solutions from verified subject matter experts
