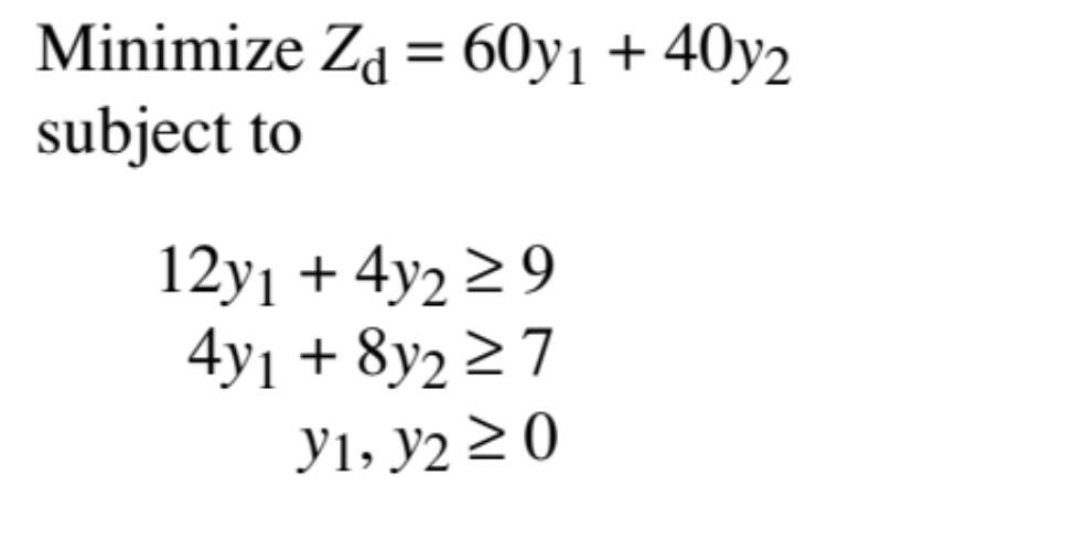
Question: LINEAR PROGRAMMING USE SIMPLEKS METHOD (MANUAL) AND MAKE THE TABLE imizeZd=60y1+40y2jectto12y1+4y294y1+8y27y1,y20
LINEAR PROGRAMMING USE SIMPLEKS METHOD (MANUAL) AND MAKE THE TABLE

imizeZd=60y1+40y2jectto12y1+4y294y1+8y27y1,y20
Step by Step Solution
There are 3 Steps involved in it
1 Expert Approved Answer
Step: 1 Unlock
Question Has Been Solved by an Expert!
Get step-by-step solutions from verified subject matter experts
Step: 2 Unlock
Step: 3 Unlock
