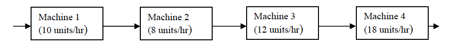
Question: Machine 1 (10 units/hr) Machine 2 (8 units/hr) Machine 3 (12 units/hr) Machine 4 (18 units/hr)
Machine 1 (10 units/hr) Machine 2 (8 units/hr) Machine 3 (12 units/hr) Machine 4 (18 units/hr)
Step by Step Solution
There are 3 Steps involved in it
Get step-by-step solutions from verified subject matter experts
