Question: Make a mathematical model about the problem below problem - Consider a function for defined as f ( ) 2 2 - x - 6
Make a mathematical model about the problem below


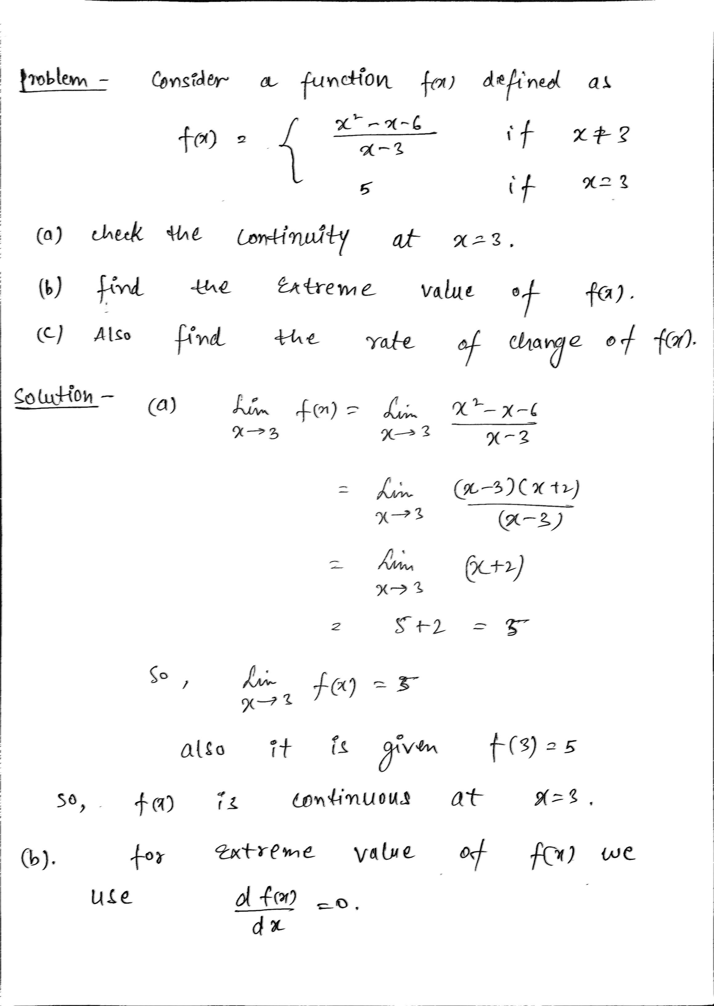
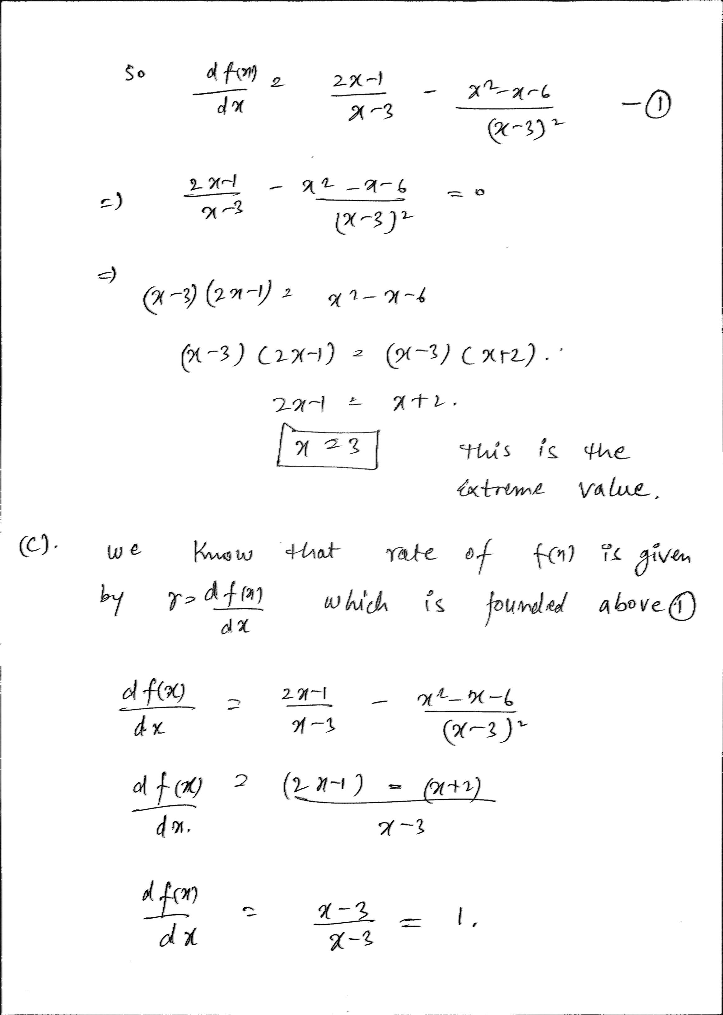
problem - Consider a function for defined as f ( ) 2 2 - x - 6 if x7 3 2 - 3 5 it X 2 3 ( a) check the continuity at x23 . ( 6 ) find the Extreme value of ( C ) Also find the rate of change of fom). Solution - (a ) him f ( 2 ) = him X 2 - X - 6 X -3 X - 3 2 - 3 = hin ( x - 3 ) ( x +2 ) X - 3 (2 - 3 ) 2 him (2(+ 2) X -> 3 2 5+ 2 = 3 So 1 Lin 2 -+ 3 7 ( 2) = 3 also it is given + ( 3 ) =5 so , . continuous at * = 3 . ( b ). for Extreme value of foul we useSo d fim 2 2x-1 - x2- 2-6 X -3 (2 - 3) 2 = ) - 92 -2-6 2 - 3 = 0 ( 2 - 3 ) 2 - ) ( 21 - 3 ) ( 271 -1 ) 2 92 - 21 - 6 ( 21 - 3 ) ( 271 - 1) 2 (21 - 3 ) ( x12 ) . ' 271-1 = 2+2. 21 23 this is the Extreme value . (C ) . we know that rate of fon) is given by godf 121 which is founded above ! ) d x df(xx ) 2 27-1 - 2 - 2 - 6 dx 21- 3 ( 2 - 3 ) 2 alf ( 24) 2 ( 2 0-1 ) = ( 2+2 ) 2 - 3 2 2 - 3 = 1. 2 - 3
Step by Step Solution
There are 3 Steps involved in it
Get step-by-step solutions from verified subject matter experts
