Question: Make a program in ANSI C that does the following. Problem 3 (5 points) The sinc function is defined by You are given a positive
Make a program in ANSI C that does the following.



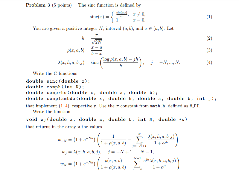
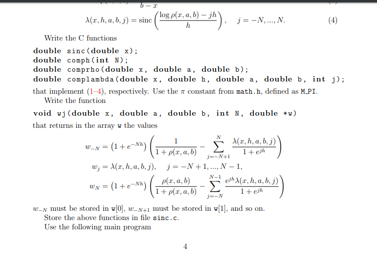
Problem 3 (5 points) The sinc function is defined by You are given a positive integer N, interval (a, b), and r (a, b). Let Ta a(x, a, b) = (z, h, a, b, j) = sinc loga(r.a,b).jh 1: Write the C functions double sinc(double x); double comph (int N); double comprho (double x, double a, double b); double complambda (double x, double h, double a, double b, int j) that implement (1-4), respectively. Use the constant from math.h, defined as MPI Write the function void wj (double x, double a, double b, nt N, double *w) that returns in the array w the values 1 + (z, a, b) j-N+1 w, = (x, h,a,b, j), j =-N + 1, , N-1, 1 + (z, a, b) 1eih Problem 3 (5 points) The sinc function is defined by You are given a positive integer N, interval (a, b), and r (a, b). Let Ta a(x, a, b) = (z, h, a, b, j) = sinc loga(r.a,b).jh 1: Write the C functions double sinc(double x); double comph (int N); double comprho (double x, double a, double b); double complambda (double x, double h, double a, double b, int j) that implement (1-4), respectively. Use the constant from math.h, defined as MPI Write the function void wj (double x, double a, double b, nt N, double *w) that returns in the array w the values 1 + (z, a, b) j-N+1 w, = (x, h,a,b, j), j =-N + 1, , N-1, 1 + (z, a, b) 1eih
Step by Step Solution
There are 3 Steps involved in it
Get step-by-step solutions from verified subject matter experts
