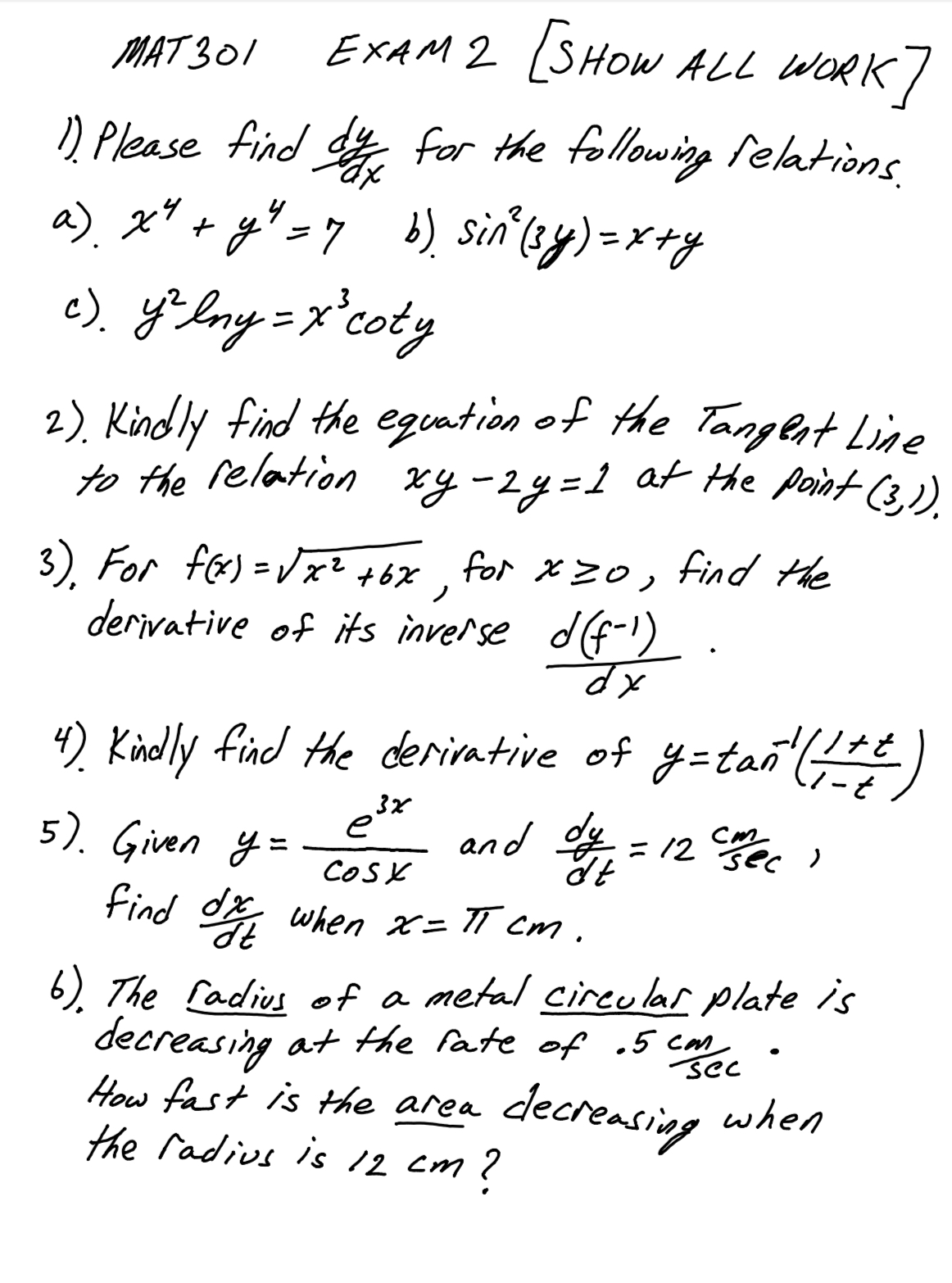
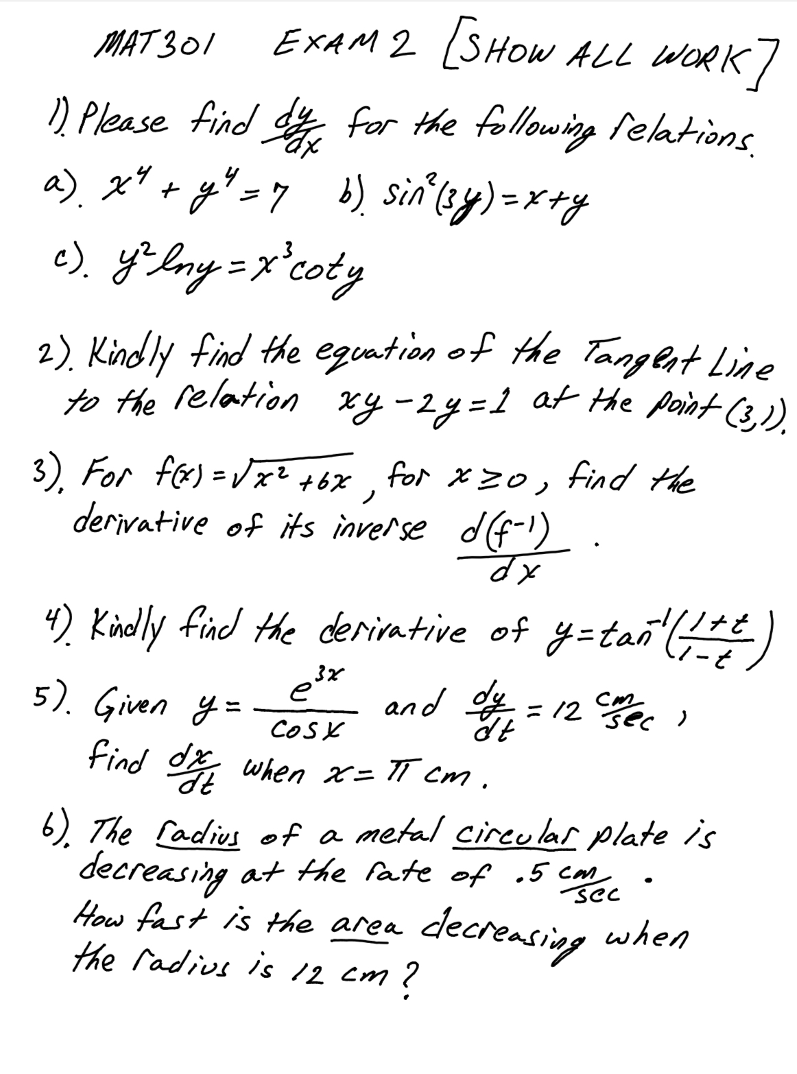
Question: MAT301 EXAM 2 ( SHOW ALL WORK ! 1) Please find dy for the following relations. a ) x + y = 7 b)


MAT301 EXAM 2 ( SHOW ALL WORK ! 1) Please find dy for the following relations. a ) x " + y" = 7 b) sin ( 34 ) = xty c ). yzeny = x coty 2). Kindly find the equation of the Tangent Line to the relation xy - 2 4 = 1 at the point ( 3,1). 3) , For f ( x) = Vx2 +6x , for x20, find the derivative of its inverse d ( f -' ). . dx 4 ) . Kindly find the derivative of y= tan ( 7 - 5 ) . Given y = - and of = 12 sec " COSX Find OX when x= TICm. 6 ) . The radius of a metal circular plate is decreasing at the fate of .5 cm sec How fast is the area clecreasing when the radius is 12 cm
Step by Step Solution
There are 3 Steps involved in it
Get step-by-step solutions from verified subject matter experts
