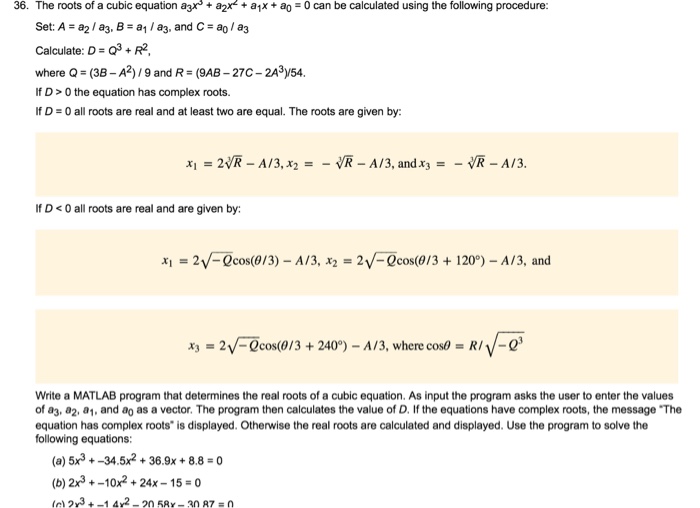
Question: MATLAB CODING. Do not worry about proving part c The roots of a cubic equation a_3 x^3 + a_2 x^2 + a_1 x + a_0
The roots of a cubic equation a_3 x^3 + a_2 x^2 + a_1 x + a_0 = 0 can be calculated using the following procedure: Set: A = a_2/a_3, B = a_1/a_3, and C = a_0/a_3 Calculate: D = Q^3 + R^2, where Q = (3B - A^2) 19 and R = (9 AB - 27C - 2A^3)/54. If D > 0 the equation has complex roots. If D = 0 all roots are real and at least two are equal. The roots are given by: x_1 = 2^3 Squareroot R - A/3, x_2 = -^3 Squareroot R - A/3, and x_3 = -^3 Squareroot R - A/3 If D
Step by Step Solution
There are 3 Steps involved in it
Get step-by-step solutions from verified subject matter experts
