Question: MATLAB ONLY!! WRITE IN COMPUTER, SO I CAN COPY PASTE!! Problem The mechanical power output Pin a contracting muscle is given by: Vmax P=T *
MATLAB ONLY!! WRITE IN COMPUTER, SO I CAN COPY PASTE!!

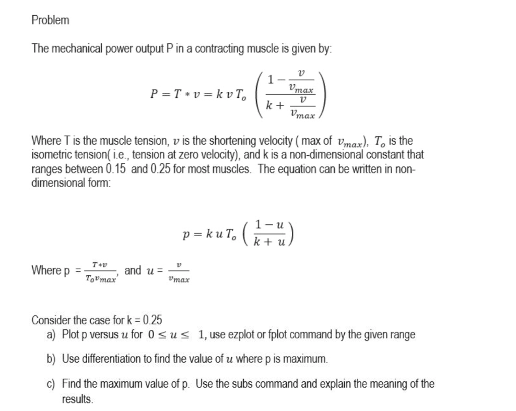
Problem The mechanical power output Pin a contracting muscle is given by: Vmax P=T * v=k v T. Vmax Where I is the muscle tension, v is the shortening velocity (max of Vmax), T. is the isometric tension( i.e., tension at zero velocity), and k is a non-dimensional constant that ranges between 0.15 and 0.25 for most muscles. The equation can be written in non- dimensional form: 11-u p=kut Ik + u = Where p = _T* va Toum and u= Vmax Consider the case for k = 0.25 a) Plot p versus u for 0 sus 1, use ezplot or fplot command by the given range b) Use differentiation to find the value of u where p is maximum. c) Find the maximum value of p. Use the subs command and explain the meaning of the results
Step by Step Solution
There are 3 Steps involved in it
Get step-by-step solutions from verified subject matter experts
