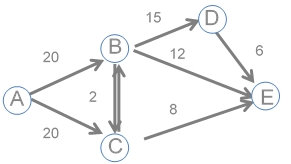
Question: Maximal Flow Problem) A new oil well has been constructed at node A. The company wants to transport oil from the well at A to
Maximal Flow Problem) A new oil well has been constructed at node A. The company wants to transport oil from the well at A to the refinery at node E. Each pipeline is labeled with its maximum flow rate in million cubic feet. The objective is to maximize the flow from A to E.

Which one is a constraint?
A. Xbc
B. Xec
C. Xce
D. Xbe 15 D () 20 12 A 2. E 8 20
Step by Step Solution
There are 3 Steps involved in it
Get step-by-step solutions from verified subject matter experts
