Question: maximize and minimized the object function C= 2x+y my questions are: does it have both maximum and minimum value ? plz show steps in details

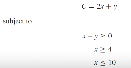
maximize and minimized the object function C= 2x+y
my questions are:
does it have both maximum and minimum value ? plz show steps in details
is it an unbounded feasible region? why?
C= 2x + y subject to x y > 0 x > 4 x
Step by Step Solution
There are 3 Steps involved in it
Get step-by-step solutions from verified subject matter experts
