Question: most cemmon programming errors that the compier desinger have to consider that handle errors such as type mismasches between operators and coerands:- etc is called











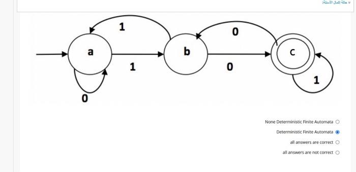
most cemmon programming errors that the compier desinger have to consider that handle errors such as type mismasches between operators and coerands:- etc is called : Leical erron Semartic erren Lesical emron Syntax erross If Languges xn(a,b} and y={1,2) then the language {a,b,1,2} is resulted from the opration XYx+yxyx all are correct None is correct choose all correct numbers that accepted by this diagram? In a contex-free grammer, Each non-terminal represents a set of strings of terminals 20a13b None Deterministic Finite Automata Deterministic Finite Automata all answers are correct all answers are not correct most common programming errors that the compiler desinger have to consider that handle grammer errors such as: misplaced semicolons, extra or missing braces, case without switch, ... ete, is called : Lexical efrors Semantic errors Logical errors Syntax enrors Consider the following Grammer:
Step by Step Solution
There are 3 Steps involved in it
Get step-by-step solutions from verified subject matter experts
