Question: my professor didn't use formula steps on example problems and he skiped many steps but he only used answers with little steps...so please look at





my professor didn't use formula steps on example problems and he skiped many steps but he only used answers with little steps...so please look at those all questions and solve them with each steps





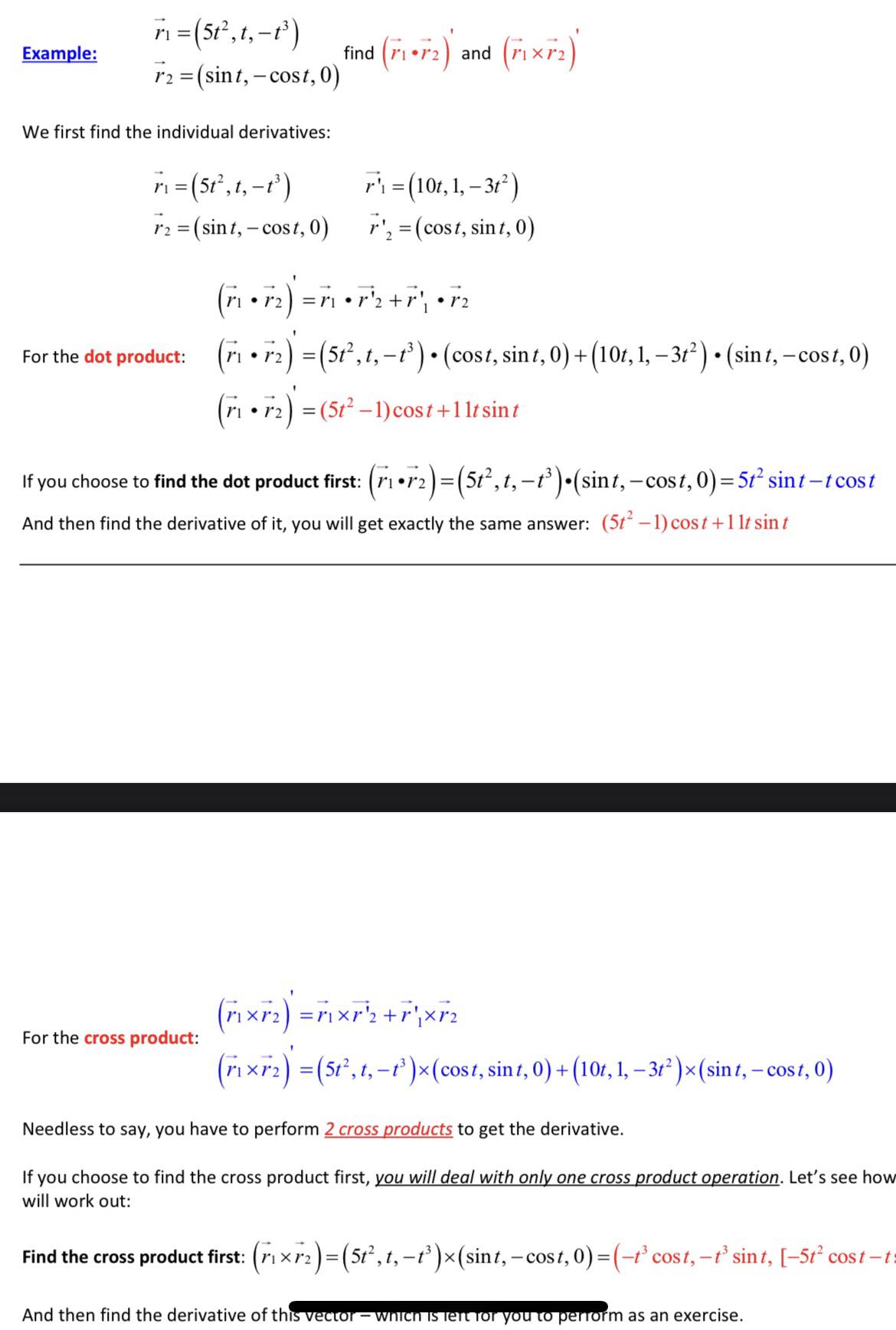
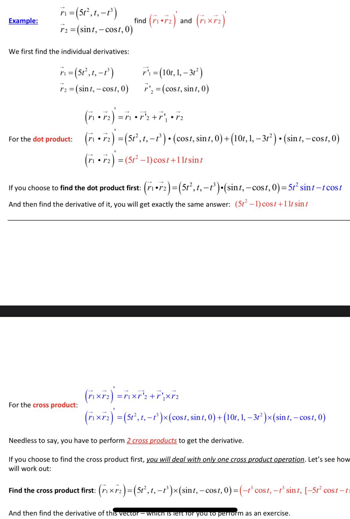
M1 = (5+2 , t, -13 ) Example: find ri. r2 ) and (rixr2 ) 12 = (sint, -cost, 0) We first find the individual derivatives: ri = (5t?, t, -13) P'1 = (10t, 1, - 312 ) 12 = (sint, - cost, 0) r2 = (cost, sint, 0) For the dot product: (ri . 12) =(512,t, -1') . (cost, sint, 0) + (10t, 1, -31?) . (sint, -cost, 0) (m . 12) = (512 -1) cost +1 Itsint If you choose to find the dot product first: (1 -12 ) = (512, t, -13 )-(sint, -cost, 0) =512 sint-tcost And then find the derivative of it, you will get exactly the same answer: (5t -1) cost + 1 It sint (mixr2) = mixr2 + rxr2 For the cross product: (mixr2) =(5t', t, -1')x(cost, sint, 0) + (10t, 1, -312)x(sint, -cost, 0) Needless to say, you have to perform 2 cross products to get the derivative. If you choose to find the cross product first, you will deal with only one cross product operation. Let's see how will work out: Find the cross product first: (rix2 ) = (512, t, -13 ) x (sint, -cost, 0) =(-13 cost, -13 sint, [-512 cost -t And then find the derivative of this vector - which is felt for you to perform as an exercise./ Example: Find the tangent line to the vector function CU\" \"-1 | w _ ,I-m=_ cm11+ _ hl a _ 7r r(t) = (2cost,25mt,t) at the point (JAE?) Using the definition, we first find the unit tangent vector: \"Eh\" V4sin i+4cos t+1 * r' (251nt,2(:ost 1) [ 25int 2cost I] __= f f T The next thing is to find out exactly what it is at the given goint: (2003:,23ini,t) = [n/5,?) Thus: {21(- 4 The tangent line to a cur determined by the unit I: So, at the given point, the unit tangent vector is: at the point. 7(1) [Til %, %]= %(\\5, 5,1) 9 And this defines the direction of the Recall that the unit tangent vector is found to be T Tl \\/_, f, 21) and from that you can direction vector. Using the direction given by b = J5 and the point ('5, '5'?) x=xo+at You now can construct the equation for the line using the form: y 2 yo + I): z = 20 + ct x = J5 +15 t y = J5 + (x5)! -)And this is the equation for the tangent fine 7f 2 = +3 Example: Given y" =ite j with initial conditions [y(0) = 27 +0 j ly'(0) = 0i + j . Find y Integrating y" once: y'= (ite' j )di =ti+e' j+C Plug in the initial condition for y' and you will find that C = 0 Therefore: y' = tite' j Another integration will finish the problem: y = (tite' j ) dt = _ itelj + C N Plug in the initial condition for y and you will find that C = 2i-1j y = ite'j + (2i-1j) 2 The solution is thus: y = 2 +2 it( e' - 1) j3. Turn in: Find the equation for the tangent line to the curve defined by the vector-valued function: r(t) = ( sint, 3e', e" ) at the point /(1) = (0,3, 1) . You can express the equation in parametric or symmetric form. This is a quick exercise in differentiating vector- valued functions: r'(/) = (cost, 3e', 2e" ) From the given positions, you can see that / = 0 > '(0) = (1.3.2) And this vector defines the direction vector for the tangent line. You can finish the problem by constructing x =/ 6 the line equation:
Step by Step Solution
There are 3 Steps involved in it
Get step-by-step solutions from verified subject matter experts
