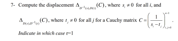
Question: Need Handwritten solution , please 7- Compute the displacement A D-().D(1) (C), where s, # 0 for all i, and V (C), where t, #
Need Handwritten solution , please

7- Compute the displacement A D-().D(1) (C), where s, # 0 for all i, and V (C), where t, # 0 for all j for a Cauchy matrix C = S Indicate in which case F=1
Step by Step Solution
There are 3 Steps involved in it
Get step-by-step solutions from verified subject matter experts
