Question: Need help computing the VCdim for the following Hypothesis class. If anything can be used from the proofs from the Understanding Machine Learning: From Theory
Need help computing the VCdim for the following Hypothesis class. If anything can be used from the proofs from the Understanding Machine Learning: From Theory to Algorithms by Shai & Shai it may be used, just please reference it
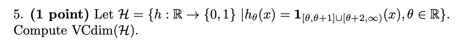
Let :
Compute VCdim
Step by Step Solution
There are 3 Steps involved in it
1 Expert Approved Answer
Step: 1 Unlock
Question Has Been Solved by an Expert!
Get step-by-step solutions from verified subject matter experts
Step: 2 Unlock
Step: 3 Unlock
