Question: Need Help for the Java Program : A deque (pronounced like deck) is a double-ended queue. Deques are like ordinary queues, except that objects can
Need Help for the Java Program :
A deque (pronounced like deck) is a double-ended queue. Deques are like ordinary queues, except that objects can be inserted and deleted both at the front and the rear. Unlike the queues described in the lectures, they work without special cases. In this laboratory assignment, you will write a Java class called Deque that implements a deque.
1). Theory.
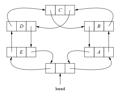
A deque can be implemented easily using a circular, doubly-linked list with a head node. For example, a deque containing the objects A, B, C, D, and E might use a list that looks like the following diagram. (To save space, the diagram does not show arrows pointing to those objects.)

The variable head points to the head node. The expression head.right points to the node at the front of the deque, which in turn points to the object A. The expression head.left points to the node at the rear of the deque, which in turn points to the object E.
2). Implementation.
You must write a class called Deque that implements a deque, using a doubly-linked circular list with a head node. Instances of Deque must be able to hold objects whose type is given by a class parameter Base. As a result, your class Deque must look like this, with your code in place of the three dots. To simplify grading, your code must use the same names for things that are used here.
class Deque
{
.
.
.
}
Your class Deque must have a private nested class called Node. The class Node implements the nodes of the doubly-linked list. It must have a private pointer slot called object that points to the object at the Node. It must have private pointer slots called left and right that point to the Nodes at the left and right of the Node, respectively.
It must have a constructor that initializes the object, left, and right slots of the Node. Your class Deque must also have a private variable head that points to the head node of the circular doubly-linked list. Also, your class must have the following methods.
public Deque()
Constructor. Make a new, empty Deque. The variable head must be set to a new head node here.
public void enqueueFront(Base object)
Add a new Node at the front of the Deque. The object slot of the new Node must point to the parameter object.
public void enqueueRear(Base object)
Add a new Node at the rear of the Deque. The object slot of the new Node must point to the parameter object.
public Base dequeueFront()
If the Deque is empty, then throw an IllegalStateException. Otherwise, get the Base object from the Node at the front of the Deque. Delete the Node at the front of the Deque, and return the Base object.
public Base dequeueRear()
If the Deque is empty, then throw an IllegalStateException. Otherwise, get the Base object from the the Node at the rear of the Deque. Delete the Node at the rear of the Deque, and return the Base object.
public boolean isEmpty()
Return true if the Deque is empty. Return false otherwise. The file tests.java contains Java code that performs a series of tests. The tests call methods from the Deque class; some of them print what those methods return. Each test is also followed by a comment that tells how many points it is worth, and optionally what must be printed if it works correctly
Run the tests, then turn in the Java source code for your Deque class.
///////////////////////////////////////////////////////////////////////////////////////////////////////////////
tests.java
// OBSERVATION DEQUE. Test the class DEQUE. 40 points total. class ObservationDeque { // MAIN. Test the DEQUE on various example arguments. public static void main(String [] args) { Deque deque = new Deque(); System.out.println(deque.isEmpty()); // true 2 points. try { System.out.println(deque.dequeueFront()); } catch (IllegalStateException ignore) { System.out.println("No dequeueFront."); // No dequeueFront. 2 points. } try { System.out.println(deque.dequeueRear()); } catch (IllegalStateException ignore) { System.out.println("No dequeueRear."); // No dequeueRear. 2 points. } // Enqueueing to the rear and dequeueing from the rear makes the DEQUE act // like a stack. deque.enqueueRear("A"); deque.enqueueRear("B"); deque.enqueueRear("C"); System.out.println(deque.isEmpty()); // false 2 points. System.out.println(deque.dequeueRear()); // C 2 points. System.out.println(deque.dequeueRear()); // B 2 points. System.out.println(deque.dequeueRear()); // A 2 points. System.out.println(deque.isEmpty()); // true 2 points. // Enqueueing to the rear and dequeueing from the front makes the DEQUE act // like a queue. deque.enqueueRear("A"); deque.enqueueRear("B"); deque.enqueueRear("C"); System.out.println(deque.dequeueFront()); // A 2 points. System.out.println(deque.dequeueFront()); // B 2 points. System.out.println(deque.dequeueFront()); // C 2 points. System.out.println(deque.isEmpty()); // true 2 points. // Enqueueing to the front and dequeueing from the front makes the DEQUE act // like a stack. deque.enqueueFront("A"); deque.enqueueFront("B"); deque.enqueueFront("C"); System.out.println(deque.dequeueFront()); // C 2 points. System.out.println(deque.dequeueFront()); // B 2 points. System.out.println(deque.dequeueFront()); // A 2 points. System.out.println(deque.isEmpty()); // true 2 points. // Enqueueing to the front and dequeueing from the rear makes the DEQUE act // like a queue. deque.enqueueFront("A"); deque.enqueueFront("B"); deque.enqueueFront("C"); System.out.println(deque.dequeueRear()); // A 2 points. System.out.println(deque.dequeueRear()); // B 2 points. System.out.println(deque.dequeueRear()); // C 2 points. System.out.println(deque.isEmpty()); // true 2 points. } } C B E head C B E head
Step by Step Solution
There are 3 Steps involved in it
Get step-by-step solutions from verified subject matter experts
