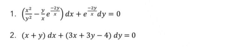
Question: Need help. Please show your complete solutions. Thank you. Direction: Identify the type of solution (most suitable solution) for each prob and solve for general



Need help. Please show your complete solutions. Thank you.
Direction: Identify the type of solution (most suitable solution) for each prob and solve for general solution.



Step by Step Solution
There are 3 Steps involved in it
Get step-by-step solutions from verified subject matter experts
