Question: NEED HELP. PROVIDE SOLUTIONS. THANK YOU. Worksheet . . Exit Full Screen Respondent 1 Respondent 2 Respondent3 Respondent 4 Respondent 5 Respondent 6 Respondent 7
NEED HELP. PROVIDE SOLUTIONS. THANK YOU.



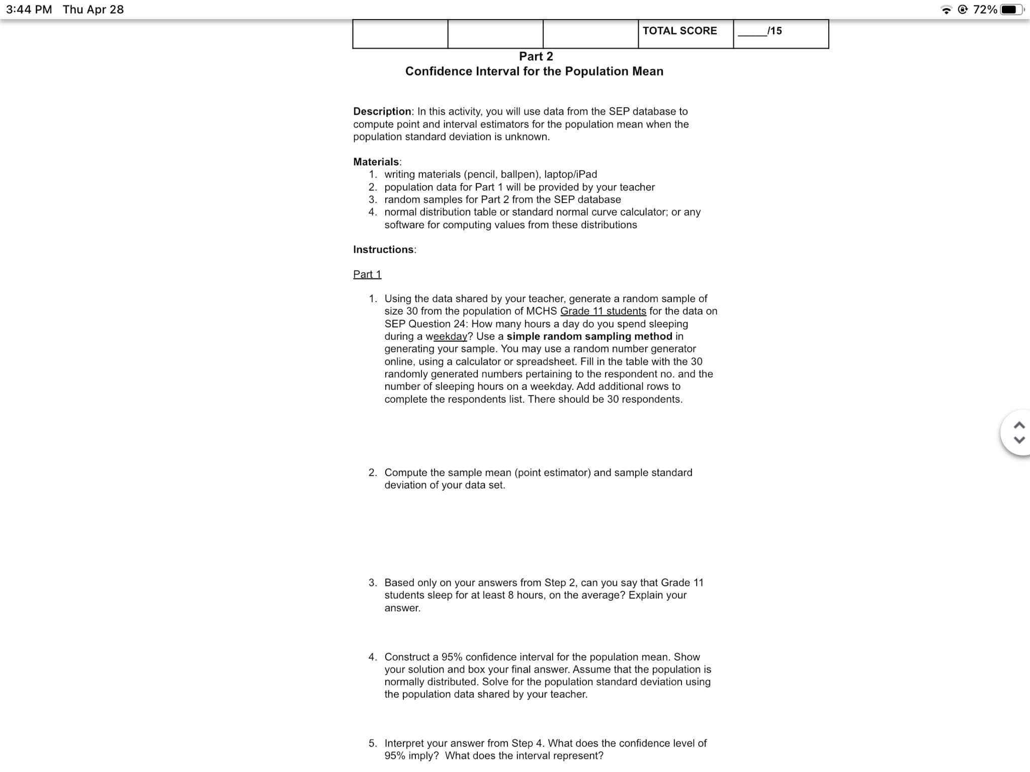
Worksheet . . Exit Full Screen Respondent 1 Respondent 2 Respondent3 Respondent 4 Respondent 5 Respondent 6 Respondent 7 Respondents Respondent9 Respondent 10 Respondent 11 Respondent 12 Respondent 13 Respondent 14 Respondent 15 Respondent 16 Respondent 17 Respondent 18 Respondent 19 Respondent 20 Respondent21 Respondent 22 Respondent 23 Respondent24 Respondent25 Respondent 26 Respondent 27 2 eeping during a weekday? - 7 weekday? -6 weekday? -6 weekday? -5 weekend? - 6 weekend? - 10 weekend? - 10 weekend? - 10 weekday? - 9 weekday? -7 weekday? - 10 weekday? - 7 weekday? -7 weekend? - 10 weekend? - 9 weekend? - 8 weekday? - 7 weekend? - 9 weekday? - 7 weekday? - 8 weekend? - 9 weekday? - 5 weekend? - 10 weekend? - 9 weekday? - 7 weekday? - 8 weekend? - 8 weekend? - 12 weekday? - 5 weekend? - 9 weekday? - 5 weekday? - 5 weekend? - 10 weekend? - 8 weekday? - 5 weekday? - 4 weekend? - 10 weekend? - 10 weekday? - 5 weekday? - 5 weekend? - 6 weekend? - 8 weekday? - 7 weekday? - 7 weekend? - 5 weekend? -7 weekday? - 5 weekend? - 11 weekday? - 8 weekend? - 9 weekday? - 11 weekend? - 9 weekend? - 10 weekend? - 93:44 PM Thu Apr 28 72% TOTAL SCORE /15 Part 2 Confidence Interval for the Population Mean Description: In this activity, you will use data from the SEP database to compute point and interval estimators for the population mean when the population standard deviation is unknown. Materials: 1. writing materials (pencil, ballpen), laptop/iPad 2. population data for Part 1 will be provided by your teacher 3. random samples for Part 2 from the SEP database 4. normal distribution table or standard normal curve calculator; or any software for computing values from these distributions Instructions: Part 1 1. Using the data shared by your teacher, generate a random sample of size 30 from the population of MCHS Grade 11 students for the data on SEP Question 24: How many hours a day do you spend sleeping during a weekday? Use a simple random sampling method in generating your sample. You may use a random number generator online, using a calculator or spreadsheet. Fill in the table with the 30 randomly generated numbers pertaining to the respondent no. and the number of sleeping hours on a weekday. Add additional rows to complete the respondents list. There should be 30 respondents. 2. Compute the sample mean (point estimator) and sample standard deviation of your data set. 3. Based only on your answers from Step 2, can you say that Grade 11 students sleep for at least 8 hours, on the average? Explain your answer. 4. Construct a 95% confidence interval for the population mean. Show your solution and box your final answer. Assume that the population is normally distributed. Solve for the population standard deviation using the population data shared by your teacher. 5. Interpret your answer from Step 4. What does the confidence level of 95% imply? What does the interval represent?3:44 PM Thu Apr 28 Part 2 . Login to your Mathplus Resources account. Choose SEP and then click Proceed. Click Access Data. Go to the option "Download a Random Sample". Choose the options indicated in the screenshot below and click "Search". Download the report. Make sure to turn in a copy of the downloaded spreadsheet. Your goal is to generate a random sample of size 30 from the SEP population of Grade 11 students for the data on SEP Question 24: How many hours a day do you spend sleeping during a Wm? . Compute the sample mean (point estimator) and sample standard deviation of your data set. Construct a 95% condence interval for the population mean. Show your solution and box your nal answer. Assume that the population is normally distributed. Recall that if the population standard deviation is unknown, you may use the sample standard deviation instead. Interpret your answer from Step 3. Compare the results in parts 1 and 2. e- e 72% (E) K)
Step by Step Solution
There are 3 Steps involved in it
Get step-by-step solutions from verified subject matter experts
