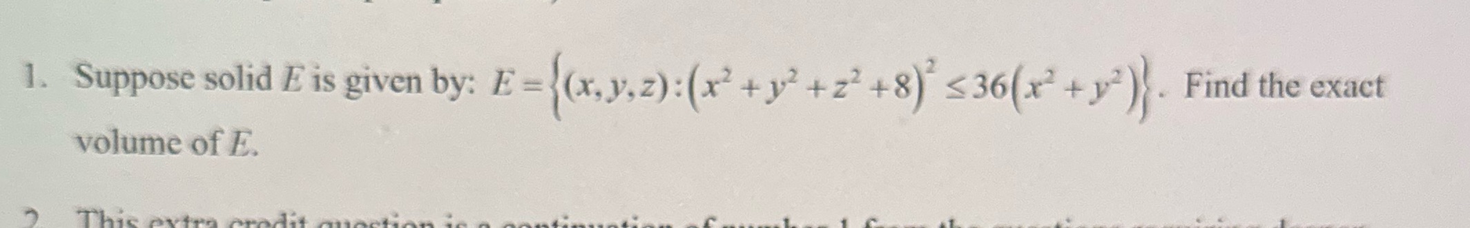
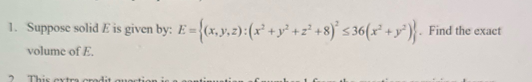
Question: Need help with practice problem! 1. Suppose solid E is given by: E volume of E. + 36(x2 + Find the exact

Need help with practice problem!

1. Suppose solid E is given by: E volume of E. + 36(x2 + Find the exact
Step by Step Solution
There are 3 Steps involved in it
Get step-by-step solutions from verified subject matter experts
