Question: Need help with Simple Linear Regression Please! Everything is in order, separated by #'s. 1 {b} What does the scatter diagram developed in part (a)
Need help with Simple Linear Regression Please! Everything is in order, separated by #'s.
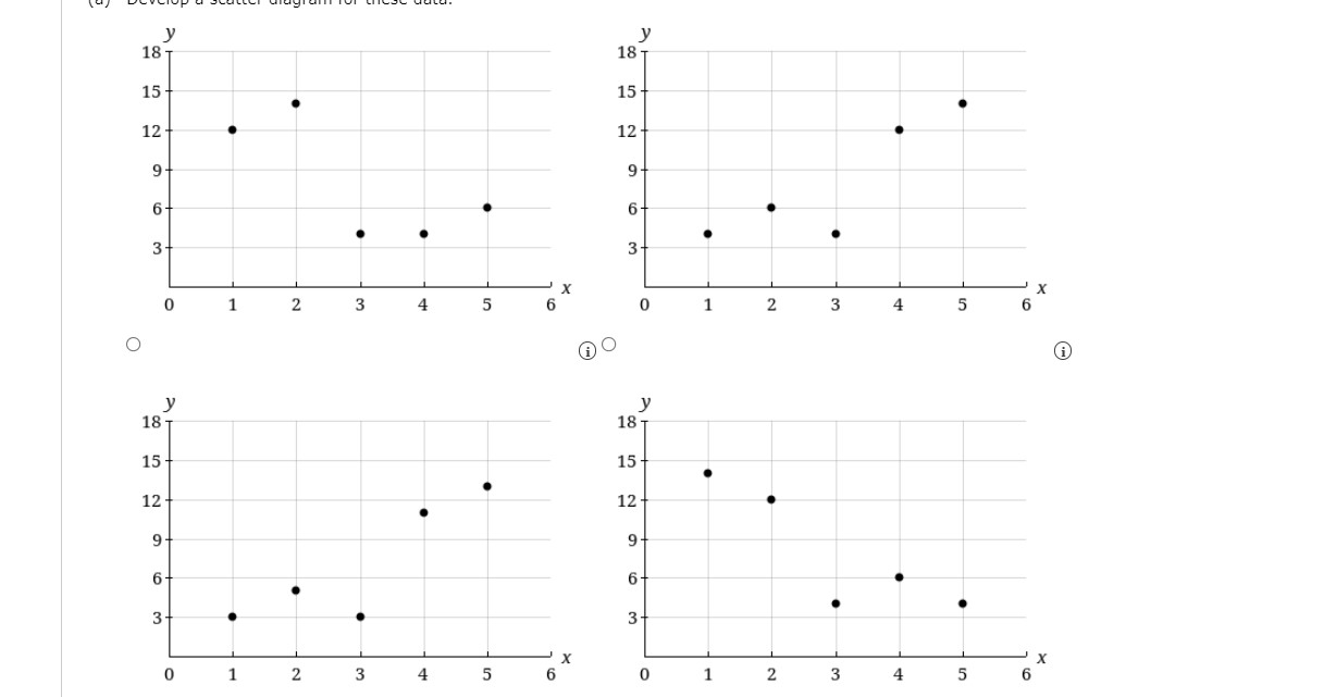
1














{b} What does the scatter diagram developed in part (a) indicate about the relationship between the two variables? 0 There appears to be no noticeable relationship between x and y. 0 There appears to be a positive linear relationship between x and y. 0 There appears to be a negative linear relationship between x and y. (c) Try to approximate the relationship between x and y by drawing a straight line through the data. J? y 2(x. You. F) , , (d) Develop the estimated regression equation by computing the values of be and {)1 using bl = % and bo = y blx. 2(x'. x) (e) Use the estimated regression equation to predict the value of y when x = 4. :l Brawdy Plastics, Inc., produces plastic seat belt retainers for General Motors at the Brawdy Plastics plant in Buffalo, New York. After nal assembly and painting, the parts are placed on a conveyor belt that moves the parts past a nal inspection station. How fast the parts move past the nal inspection station depends upon the line speed of the conveyor belt (feet per minute). Although faster line speeds are desirable, management is concerned that increasing the line speed too much may not provide enough time for inspectors to identify which parts are actually defective. To test this theory, Brawdy Plastics conducted an experiment in which the same batch of parts, with a known number of defective parts, was inspected using a variety of line speeds. The following data were collected. W \"we\"? 1'?\" Parts Found 20 23 20 2 l 30 1 9 30 1 6 40 1 5 40 1 7" 50 14 50 1 l (a) Develop a scatter diagram with the line speed as the independent variable. 25 25 20 20 15 15 Number of Defective Parts Number of Defective Parts 10 10- 5 0 10 20 30 40 50 60 0 10 20 30 40 50 60 O Line Speed (feet per minute) Line Speed (feet per minute) 25 25 20 20 - 15 15 Number of Defective Parts Number of Defective Parts 10 10 5 5 0 10 20 30 40 50 60 0 10 20 30 40 50 60 O Line Speed (feet per minute) Line Speed (feet per minute) i{b} what does the scatter diagram developed in part (a) indicate about the relationship between the two variables? 0 There appears to be a positive relationship between line speed (feet per minute) and the number of defective parts. 0 There appears to be a negative relationship between line speed (feet per minute) and the number of defective parts. 0 There appears to be no noticeable relationship between line speed (feet per minute) and the number of defective parts. {:2} Use the least squares method to develop the estimated regression equation. Y = S (d) Predict the number of defective parts found for a line speed of 45 feet per minute. E Consider the data. X- l 2 3 4 5 n3761113 The estimated regression equation for these data is )7 = [1.30 + 2.40x. (a) Compute SSE, SST, and SSR using equations SSE : 2(yf m2, ssr : my; 17F. and SSR : 207'. T02. (b) Compute the coefficient of determination (2. Comment on the goodness of fit. (For purposes of this exercise, consider a proportion large if it is at least 0.55.) O The least squares line provided a good t as a large proportion of the variability in 3/ has been explained by the least squares line. 0 The least squares line did not provide a good t as a large proportion of the variability in y has been explained by the least squares line. 0 The least squares line did not provide a good t as a small proportion of the variability in y has been explained by the least squares line. 0 The least squares line provided a good t as a small proportion of the variability in Jr has been explained by the least squares line. (c) Compute the sample correlation coefficient. {Round your answer to three decimal places.) E A sales manager collected the following data on x = years of experience and y = annual sales ($1,000s). The estimated regression equation for these data is y = 82 + 4x. Salesperson Years of Annual Sales Experience ($1,000s) 80 N 3 97 W 4 102 4 107 6 103 8 101 10 119 8 10 128 9 11 127 10 13 136 (a) Compute SST, SSR, and SSE. SST = SSR = SSE(b) Compute the coefficient of determination r2. (Round your answer to three decimal places.) Comment on the goodness of t. (For purposes of this exercise, consider a proportion large if it is at least 0.55.) O The least squares line did not provide a good t as a small proportion of the variability in V has been explained by the least squares line. 0 The least squares line provided a good t as a small proportion of the variability in y has been explained by the least squares line. 0 The least squares line did not provide a good t as a large proportion of the variability in y has been explained by the least squares line. 0 The least squares line provided a good t as a large proportion of the variability in y has been explained by the least squares line. (c) what is the value of the sample correlation coefcient? (Round your answer to three decimal places.) E If; 60 40 55 5 15 2=M5E= 55E nZ (a) Compute the mean square error using equation 5 . [Round your answer to two decimal places.) E SSE (h) Compute the standard error of the estimate using equation 5 = '3' M3 = (Round your answer to three decimal places ) s (:2) Compute the estimated standard deviation of bl using equation sbl = E( 32 . (Round your answer to three decimal places.) x. x l |:| (d) Use the t test to test the following hypotheses (a = 0.05): Hozg1 = 0 H3131 # 0 Find the value of the test statistic. (Round your answer to three decimal places.) E Find the pvalue. (Round your answer to four decimal places.) O Reject Ho. We conclude that the relationship between x and y is significant. O Do not reject H . We cannot conclude that the relationship between x and y is significant. O Do not reject Ho. We conclude that the relationship between x and y is significant. O Reject H . We cannot conclude that the relationship between x and y is significant. (e) Use the F test to test the hypotheses in part (d) at a 0.05 level of significance. Present the results in the analysis of variance table format. Set up the ANOVA table. (Round your values for MSE and F to two decimal places, and your p-value to three decimal places.) Source Sum Degrees Mean F of Variation of Squares of Freedom Square p-value Regression Error Total Find the value of the test statistic. (Round your answer to two decimal places.) Find the p-value. (Round your answer to three decimal places.) p-value =State your conclusion. O Reject Ho. We conclude that the relationship between x and y is significant. O Do not reject H . We conclude that the relationship between x and y is significant. O Reject H . We cannot conclude that the relationship between x and y is significant. O Do not reject Ho. We cannot conclude that the relationship between x and y is significant
Step by Step Solution
There are 3 Steps involved in it
Get step-by-step solutions from verified subject matter experts
