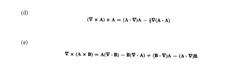
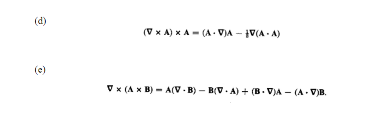
Question: Need work to verify both sides are equal (d) (V x A) x A = (A . V)A - IV(A . A) (e) V x

Need work to verify both sides are equal

(d) (V x A) x A = (A . V)A - IV(A . A) (e) V x (A x B) = A(V . B) - B(V . A) + (B . V)A - (A . V)B
Step by Step Solution
There are 3 Steps involved in it
Get step-by-step solutions from verified subject matter experts
