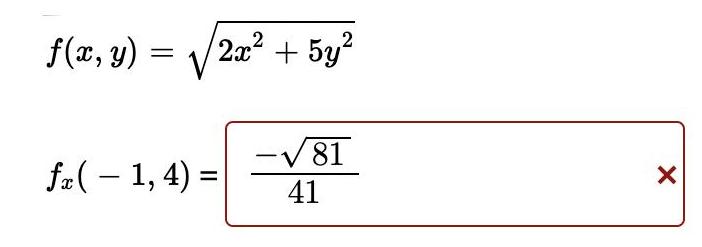
Question: .2 f(x, y) = 2x + 5y -V81 fz( 1, 4) = 41
.2 f(x, y) = 2x + 5y -V81 fz( 1, 4) = 41
Step by Step Solution
3.42 Rating (152 Votes )
There are 3 Steps involved in it
Get step-by-step solutions from verified subject matter experts
